Questions
IMPORTANTE
IMPORTANTE The Needleman-Wunsch Algorithm NOTE: This is a dynamic algorithm that return the optimal alignment of two sequences.
Rules for constructing the matrix:
- Initialize the first row to
- Initialize the first column to
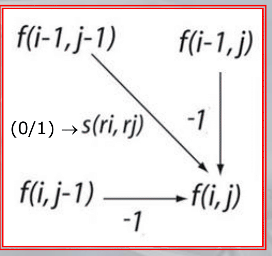
- The element is the maximum of the following three rules.
- A diagonal step, is not a malus
- An orizontal or vertical step is a malus of
- If the row is equal to the column itâs a bonus of , else:
Once constructed the matrix, we take the last element, and reconstruct the allignment. Watch the example, they are more clear.
~Ex.: Rules
~Ex.: Algorithm
~Ex.: Algorithm II
Slides with Notes

IMPORTANTE The Needleman-Wunsch Algorithm NOTE: This is a dynamic algorithm that return the optimal alignment of two sequences.
Rules for constructing the matrix:
- A diagonal step, is not a malus
- An orizontal or vertical step is a malus of
- If the row is equal to the column itâs a bonus of , else:
- The element is the maximum of this three rules.
Once constructed the matrix, we take the last element, and reconstruct the allignment. Watch the example, they are more clear.
~Ex.: Rules
~Ex.: Algorithm
~Ex.: Algorithm II



