Index
Calculation of the Electro-Neutrality
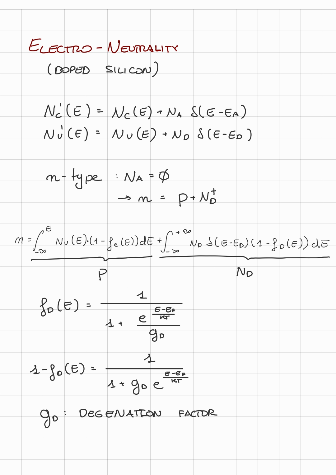
Like we have done for intrisic Silicon, when we calculated the Density of Carriers, we will use the same formula, however in this case we have a different formula for the Electron and Hole Density of States Functions, since we are talking about extrinsic or doped Silicon.
So starting with the new βElectron and Hole Density of States Functionsβ:And:Where:
- and represents the single extrinsic energy level added by doping the material.
in this case is the Diracβs Delta.
So given this changed Density of States, we continue with the calculation of the density carriers, the density of electrons in the Conduction Band will be:And, the density of holes in the Valence Band will be:Where:
- : is the probability of finding a hole at a certain energy .
~Ex.: n-type Doped Silicon
Letβs take a look at the n-type doped Silicon, so: , and: The only thing to remember is that when calculating the integral for the dopant, we need to use the βDegeneracy Fermi-Dirac Functionβ (): Where:And:Where:
- is the βdegeneracy factorβ.
So, at the end we will obtain:(Same formula as in the intrisic case)
But also:We can also calculate:Where:
- Like in the intrinsic case, and do not depend on , we can think of them as constants depending on the material and temperature.
==I can see as the number of electron which you have in the conduction band. But also I see as the sum of the hole that left behind this electron here, which says that this electron here comes either from the valence band or from the donors==.
By doping I transform material which is approximately an insulator at room temperature, into a conductor (even a good conductor).
Remeber that the Mass Action Law needs to be respected, so by doping we have βtransformedβ some holes in electrons or vice-versa.
Complete Notes

