Remeber:
A conductive proximity sensor, without a target and with a conductive target:
- No conductive target found, the measured capacitance will be a small value equal to
- Conductive target found, then
- So what happens is this:
What happens, instead, if I have a large, conductive target, which is also not grounded? ⇒ The parasitic capacitance formed between the ground and target can be ignored. More specifically if: (And this is true if the area of the sensor is much smaller that that of the target) Then the parasitic capacitance can be ignored:
- : measured capacitance.
- : sensor’s capacitance.
- : parasitic capacitance between ground () and target ().
- ==If the sensor is small (if its area is small) relative to the large target==: Then we have that and .
⇒ So it's like always having a grounded conductive target, which is good.
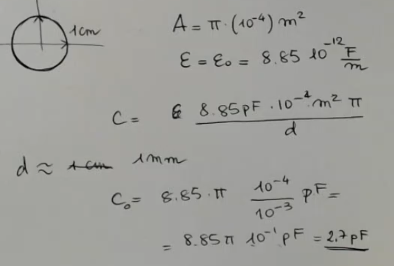
We have seen an example of a capacitance sensor, with real world values, remember this: ==A circular capacitive proximity sensor with radius , measuring an object away will assume a capacitance of about ==.
Remember, and this is very important, impedance of a capacitance in module is this one:
- ==So small capacitance means high impedance==.
- If proximity capacitive sensor have a reasonable size, they will be a very high impedance sensor.
- ==This can be mitigated by operating this sensor at high frequency, but we know that the higher the frequency the most critical is the design of the electronics==.
- ==So we have to cope between these two requirements to keep this impedance small enough to be measured and to operate at a not too high frequency, in order for the design and for the parasitic effect which comes together with the high frequency electronic design==.
Actually proximity sensors can be used also for non-conductive target, under the assumption that the electrical permittivity of the medium of the target is different from the one of the vacuum:
When we have the target close to our measuring plate, the electrical field will find a medium with a different permittivity
⇒ ==Like for conductive targets, the capacitance measured by the sensor changes (it increases), if we get closer to the target, even if it is non-conductive==.
For this reason also a non-conductive target can be sensed.
Memory Card

Index
- Capacitive Proximity Sensors
- Large Non-Grounded Conductive Target for Capacitive Proximity Sensors
- ~Ex. Simple Sensor
- High Impedance Sensor
Capacitive Proximity Sensors

- In the middle there is the sensing plate, which is polarized (biased)
- ==In a proximity sensor, what is needed is to sense the proximity of a conductive target==.
So we imagine to have a target, which is moving, and can arrive close to the sensing plate. - This represents two conditions:
- No conductive target found, the measured capacitance will be a small value equal to
- Conductive target found, then
How can I sense the presence of this target?

This is a commercial proximity sensor:

So what happens is this:

- : the distance of the target.
- : measured capacitance, which goes to the infinite value, which is the one related to this first condition (where no conductive target are present).
Large Non-Grounded Conductive Target for Capacitive Proximity Sensors
What happens, instead, if I have a large, conductive target, which is also not grounded?
⇒ We need to account for a non-ignorable Parasitic Capacitance:

- : Capacitance Measured
- : Sensor Capacitance.
- : Parasitic Capacitance between ground () and target ().
- ==If the sensor is small (if its area is small) relative to the large target==: Then we have that and .
⇒ So it's like always having a grounded conductive target, which is good.
~Ex.: Simple Sensor
Remeber: ==A circular capacitive proximity sensor with radius , measuring an object away will assume a capacitance of about ==.
Here we can see a numerical example of a simple capacitive sensor (no parasitic capacitances considered):

- : area of the sensor (radius of 1 cm)
- : absolute permittivity (we consider to have air as the isolating material, usual scenario).
- : Sensor capapitance
- : Capacitance for the sensor distance 1 mm from the target.
High Impedance Sensor
Remember, and this is very, very important, impedance of a capacitance in module is this one:

- ==So small capacitance means high impedance==.
- So proximity capacitive sensor, if they have a reasonable size, they will be a very high impedance sensor.
- ==This can be mitigated by operating this sensor at high frequency, but we know that the higher the frequency the most critical is the design of the electronics==.
==So we have to cope between these two requirements to keep this impedance small enough to be measured and to operate at a not too high frequency, in order for the design and for the parasitic effect which comes together with the high frequency electronic design==.
Non-Conductive Target for Capacitive Proximity Sensors

- Actually proximity sensors can be used also for non-conductive target, under the assumption that the electrical permittivity of the medium of the target is different from the one of the vacuum.
- When we have the target close to our measuring plate, the electrical field will find a medium with a different permittivity
⇒ ==Like for conductive targets, the capacitance measured by the sensor changes (it increases), if we get closer to the target, even if it is non-conductive==.
For this reason also a non-conductive target can be sensed.