Remeber:

The 3 point oscillator is a device that can operate at high frequency, in numbers: Here’s its circuit:

For this devices we need a special amplifier, NOT an operational amplifier, since we are working at high frequency. Often we use a single stage amplifier, so like a BJT, a MOS, …

We need define the coefficients for the feedback loop of an amplifeir, so here’s a more usuefull schematic for the 3 point oscillator:
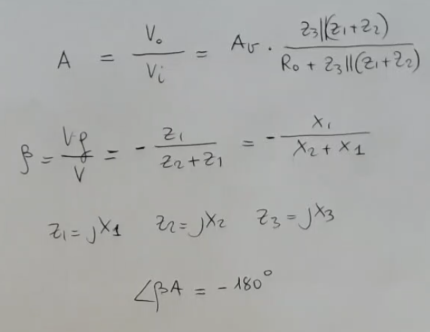
Looking at this we define:Where:

  • is the open loop of the amplifier, .
  • .
  • .
  • .

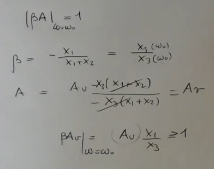
Then we apply the Barkhausen conditions, so:But if , , , are imaginary (so if we use only capacitances and inductances, as we have supposed in the construction of the oscillator) then is a real negative number.

I need that the cut-off frequency of the amplifier, has to be much larger than the working frequency of the oscillator .
So this means that I suppose to operate with in this region here, where can be considered a real number (with no imaginary part), so where :
I talk about and interchangably, since in this case they are equal, but the formula that binds the two is:NOT_SURE_ABOUT_THIS (Like an operational amplifier)

So for we have that:If we impose we will find:As per hypotesys.

So for , (this is one of many solution). Or more in general if . We can define:

  • and capacitances and an inductance, (so capacitances and inductance), and we will have a Colpits oscillator
  • inductances and capacitance, and we will have a Hartley oscillator.

And if we evaluate the first Barkhausen condition , we find:AndThis is (better if ), given: #IMPORTANTE

  • non-inverting amplifier, and must have opposite types, meaning:
    • if is a capacitance, must be an inductance.
    • if is an inductance, must be a capacitance.
  • inverting operational amplifier, and must have the same types, meaning:
    • if is a capacitance, must be a capacitance.
    • if is an inductance, must be an inductance.

Memory Card


The name of this device is “3 Point Oscillator”.

  • So we take an amplifier and this is not an operational amplifier because we are operating at high frequency.
    So is an amplifier, often it is a single stage amplifier, so like BJT, a MOS, …
  • In this circuit is not well defined, so we can use a more mathematical approch, using the defintion of :

  • If all three are imaginary (so if we use only capacitances and inductances) then is a real negative number.
  • is the open gain loop of the amplifier.

  • Again: is the open gain loop of the amplifier, and I consider it to be a real number.
    ⇒ So i need It means that this frequency of the amplifier, has to be much larger than the working frequency of the oscillator .
    So this means that I suppose to operate with in this region here, where can be considered a real number.
  • Also if we work at low frequency the phase of is equal .
  • Let’s look at the rest of , such that I will rewrite is as, so:Where:
  • If make a simple “commun divisore”:
  • So if we impose , so we have that is a real and positive number (same as as long as we only use capacitance and inductors)

So, to have , we need:

  • Since a capacitance in the frequency domain is
  • And an inductance:
  • Remember also that and are the same type (capacitance or inductance) while needs to be the other type (inductance or capacitance)

Now I need to evaluate the second rule:

  • So remember:And Actually this should be but I have supposed to work way under the cut-off frequency of the amplifier, so

In case is a negative gain: