Memory Card

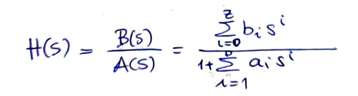
==The transient which depends on the poles of .
And this is the steady state, this is because you know that for the theorem of the final value this is equal to==:
==If I give to the sensor an input of this type here, so an input which is step function.
The output is something wich vanishes: a transient part which becomes so small than I can neglect it.
After a time which is related to , we have a steady state response which last forever and ever, which is the amplitude of the input multiplied by the sensitivity==.

- ==And this is also equal to the sensitivity of the sensor ==.
- So from now on ==from now on I’ll call this DC gain==, it gives me the steady state response of the sensor.
If I use as input function:

So remember that the transfer function tells us very easily what happens to the steady state response of any harmonic input, and remember it because we will use it a lot.
And why is this is important? This is important because I know that under some large conditions ==any signal can be written as the super-imposition of sine and cosine wave at different frequencies by means of the Fourier transform or the Fourier series. So if I know what happens to one harmonic I can generalize to any shape of signal and passing through the Fourier transform or the Fourier series==.