Memory Card


- The sign is always positive.
- And obviously ==for an ideal differential amplifier, we have a common mode rejection ratio, which is infinite==, since ideally .
- Where: and are the terminals of a differential amplifier.
Here is a simple schematic:
- Idelly: and .
Such that: .
- Idelly: and .
We have also seen an example, where we calculate the CMRR for an Instrumentational Amplifier.IMPORTANTE
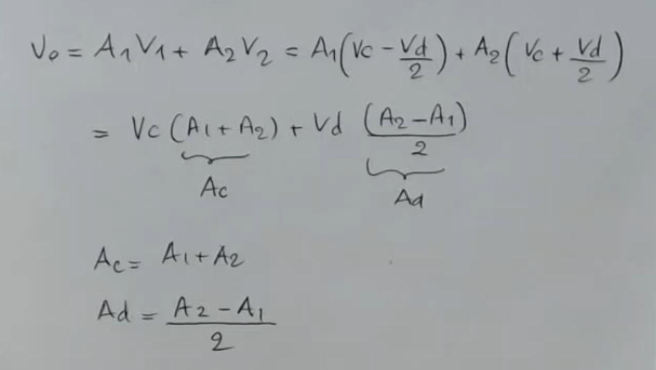
Formula: What you need to remember:
- &
- &
- Where:
- is the gain.
- means βdifferentialβ.
- means βcommon modeβ.
Professorβs notes:
