- What is the Continuity Equation for Charge Carriers?:
- The continuity equation for charge carriers in an electrical current is a fundamental concept in electromagnetism.
- It describes the conservation of charge in a conducting medium.
The formula for the Continuity Equation for Charge Carriers (specifically in this case electrons), is the following:(==Take it as true==). Where:
- and itβs the variation of density of charge carriers (or density of free electrons)
- is the divergence of the current density or transport current (), indicating the net flow of charge out of or into a volume.
- REMEMBER that a divergence of a vector is defined as:
- is the generation of charge due to thermal energy.
- is the recombintion.
-
What is the Transport Current?:
Where:
- The first term: , represents the drift current density.
This part of the current is due to the motion of electrons in response to the electric field .
It follows Ohmβs law, where current is directly proportional to the electric field. - The second term: , represents the diffusion current density.
This part of the current is due to the concentration gradient of electrons.
When there is a concentration gradient, electrons tend to move from regions of higher concentration to regions of lower concentration due to diffusion. - More specifically each term is:
- : This is the electron current density vector. (A/mΒ²).
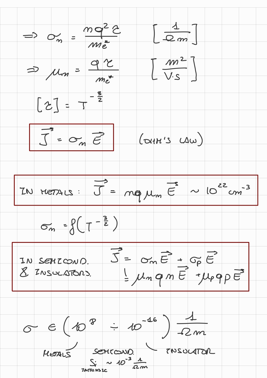
- : This term represents the electrical conductivity of the material for electrons.
Itβs a material-specific property and measures how well the material conducts electric current. (S/m, where S stands for Siemens). - : This is the electric field vector. It represents the electric force acting on the charge carriers (electrons) in the material. (V/m).
- : This represents the charge of an electron, which is approximately Coulombs.
- : This term represents the electron diffusion coefficient.
It describes how quickly electrons move through the material due to diffusion. (mΒ²/s). - is the gradient of the density of free electrons, which measures how the electron concentration changes in space.
It is usually measured in electrons per cubic meter (1/mΒ³).
- REMEMBER by definition the gradient of is:
