Remeber:
We can model an AT-Cut Quartz, which is a special cut along a crystallographic axis of a quartz, like so:
- is the capacity brought by placeing two metal layers on top of the quartz.
- We have given some common values for the electromechanical equivalent, considering :Remember: .
- The cut has a precise orientation with respect to the lattice.
- Therefore, we know also which one of the piezoelectric coefficient has to be taken into account in order to describe the phenomena.
We can plot the reactance, given that: and for sempliciity we will consider:
- Instead of plotting (the impedance) we will plot (the reactance) where: .
Here is the unsimplified formula of :And if we consider that , and for low frequencies, we can simplifiy to: And hereβs the simple plot:
- So the behavior of the quartz is the normal behavior of the capacitance
Now letβs define two imporant frequencies:And:This is what happenes at high frequency when and :
- ==In a small frequency interval, we have a huge shift in amplitude, and the behavior of the quartz becomes normal behavior of an inductance, than returns to that of a capacitance==.
- and are very close since .
- We define for convinience:And outside this really small range the value of .
We have seen some numeric examples:IMPORTANTE
- The percentage difference (calculated like a relative error) of and is , (really small difference between and ).
- So letβs take for example then .
If we perform some calculations, we will find that: . But actually due to some errors the real beahaviour is a bit different:==So if a slice of AT-Cut Quartz, the thickness of the slice will decide the wavelength==.IMPORTANTE
We have considered , and to recap here is the plot that we have seen:
But what if ? β Then is not a pure reactance anymore, it has real and imaginary part:
- The red line is an inducatance with a greater with respect to the blue line.
So:- The width of the arc that forms (looking at the amplitude plot) is related to the -factor.
The -factor decreases if increments.
Even if we take an really small, so a small window in which the device behaves like an inductance, still the amplitude changes a lot:
- So we have a special component that acts like a conductance, then like an inductance (for a small range of frequency) and then again like a conductance.
- ==More important the small range in which it acts as an inductance is set by the physical properties of the quartz, that define and ==.
- NOTE: the small range is NOT , it is even smaller, it is contained in this range and the actual range depends on .
If is small enough we consider to have an inductance-behaviour exactly in this range .
So I take as an example the so-called AT-Cut quartz. ![[Pasted image 20230720170030.png|]]
- The cut has a precise orientation with respect to the lattice.
- Therefore, we know also which one of the piezoelectric coefficient has to be taken into account in order to describe the phenomena.
- is the capacity brought by placeing two metal layers on top of the quartz.
We evaluate , but we consider (it is typically very small).
So it is just the imaginary part:

So we can plot :

- So the behavior of the quartz is the normal behavior of the capacitance.
But even if the values are extreamely low, we can define:And more importantly:
This is what happenes at high frequency when and .

- and are very close since .
- We define for convinience:
- And outside this really small range the value of .
Letβs see some numeric examples:

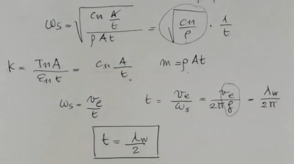
- is defined as the mechanical natural frequency, it is often used and found in mass-spring-dumper system.
But we can write the elastic coefficient as:Since:
- β .
- and in this case the variation quantity is β
- ==NOTE: This coefficinents are given by the cut βtypeβ==.
So we obtain the (inverse) most common Hookeβs Law:
Also:Where:
- : density.
- : volume.
So we can write as , as you can see here:

- We find that:
- But actually due to some errors the real beahaviour is similar but it is:
==So if a slice of AT-Cut Quartz, the thickness of the slice will decide the wavelength==. This is an extreamly convinient property.
If : (as we have seen):

What if ?
Then is not a pure reactance anymore, it has real and imaginary part:

- In red a greater than in blue.
- The width of the arc that forms (looking at the amplitude plot) is related to the -factor.
- The -factor decreases if increments.
- As I said before we wold require (usally) , otherwise strange phenomena can happen.
- If the phase does not change, then we will not have a change from capacitive-behaviour to inductive-behaviour, more on that later.
If the -factor is large enough, so if is small enough, we will have a small frequency, in which the system behaves like an inductance, so the phase is kept at for a bit, we can see it in the figure below:

- Even if this range is small, the amplitude changes a lot (as we can see in the previous figure), so we have some liberty over the values can assume.
So we have a special component that acts like a conductance, then like an inductance (for a small range of frequency) and then again like a conductance:

- More important the small range in which it acts as an inductance is set by the physical properties of the quartz, that define and .
- NOTE: the small range is NOT , it is even smaller, it is contained in this range and the actual range depends on .
If is small enough we consider to have an inductance-behaviour exactly in this range .


