Memory Card

Different types of materials have different band structures:

- For metals we have two possibilities:
- We have a separate conduction bend and valanced bend, but valance band is not fully occupied even at Kelvin.
- Another possibility for forming a metal, here you see that the conduction band and the balance band overlaps, there is no gap.
That means that the minimum amount of energy for an electron in the valance bend to go into the conduction bend is really small, almost .
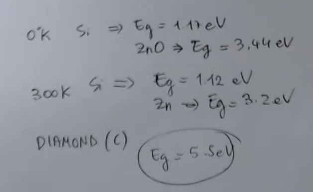
- The difference between semiconductors and insulator is the width of the energy gap.
==The energy gap depends on temperature==:

Here you see same picture, it shows you that actually the density of states in the band is not constant, but varies and there is a maximum and the middle of the band.
