Remeber:
A load cell is a sensor for force, it takes a force and changes into a strain, its strucutre is like this:
It uses a full bridge of strain gagues, we can model it as:
We have that:Where:
- and are Young and Poisson modulus.
- and are the longitudinal and tranverse strain.
- is the stress in the direction of the force .
While the strain gauge can be modelled as:We put four strain gauges in a load cell, and by changing their orientation (with respect to the direction of ) we can describe each of them as:Finally remember that a resistive bridge has this equation:
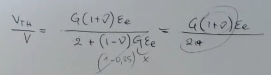
If we perform the calculations we obtain the formual of a load brige, refering to the strain:We can change the equation using force instead of strain:Finally rember that usually .
==As far as the effect of temperature is concerned, this is a full bridge because the elements are identical, and if they experience the same temperature, they vary in the same way, so the effect of temperature is completely cancelled==. “A full bridge rejects common mode disturbances”

- Primary Sensor for Force: Takes a force and changes into a strain.
Now we create a full-bridge with four sensors:

- Usually
==As far as the effect of temperature is concerned, this is a full bridge because the elements are identical, and if they experience the same temperature, they vary in the same way, so the effect of temperature is completely cancelled==.
It uses a 