Remeber:
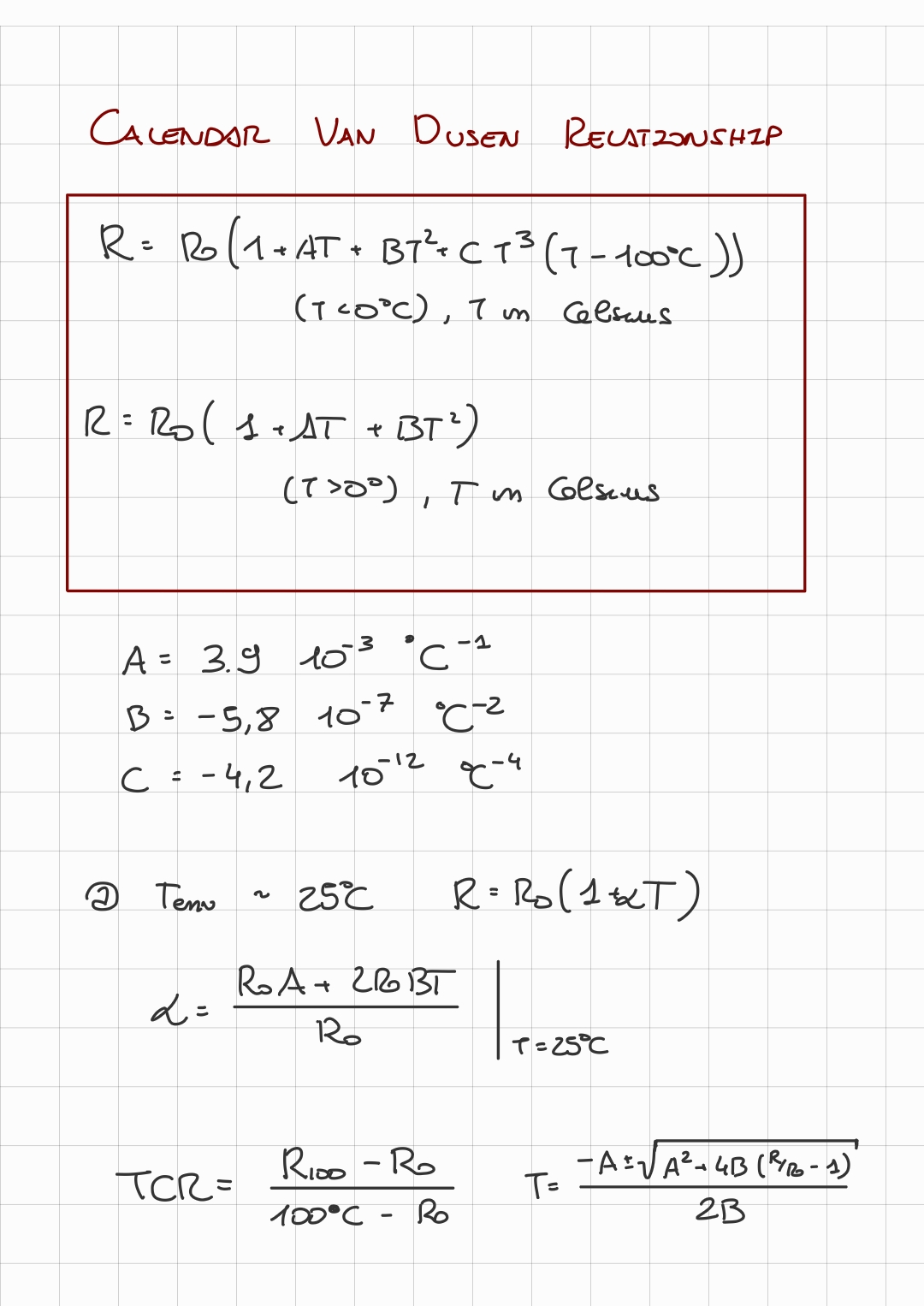
- The Calendar Van Dusen equation simplifies the relationship between the resistance of an RTD to its temperature:Where:
- is the temperature expressed in Celsius [Β°C], and it need to be Β°C
- is the resistance of the RTD at temperature ,
- β is the resistance of the RTD at the reference temperature (usually Β°C).
- , , and are coefficients that depend on the specific RTD.
- Also in the previus formula we have considered Β°C, while if Β°C we need to discard the coefficient:
- For the PT100 Sensor we have seen that the usual values are:
- NOTE: We can also see the coefficent temperature as its sensitivity, but if we want a more accurate sensitivity (for example if we want a more precise accuracy at higher temperature ) we might want to use the following formula:
- For RTD sensors also we have seen the TCR (Temperature Coefficient of Resistance), we can define as:Where:
- is the resistance the sensor assumes at
- is the resistance the sensor assumes at
- We have also seen the maximum error for using the Calendar Van Dusen Equation.
Hereβs how to find it:
- Define the formula : .
Which is the calander van dausen equation, so again:(We didnβt write the coefficient since it is really small, so we can ommit it for simplicity)- Define the inverse formula .
- Find the Maximum Error in the Worst Case Possible:Note that:
- is the maximum measurement error and depends on the circuit used, not just on the sensor, so we forget about it.
- are the maxium possible variations, since we took the worst case possible.
- Finally we perform the derivatives and find the formula for the maximum error.
- To have a proper value we need to know the values and , which are the relative variations.
- For the PT100 sensor we know that: , or: .
- Also for Class A Devices the Maximum Error is .
So it is important to note that even if a little, it depends on the temperature.
Memory Card

Index
Defintion of the Calendar Van Dusen Relationship
- There is an error:
Linearization

Errors and Accuracy of RTDs
