Remeber:
We have seen how we can use shields to protect our circuit from electrical noise. When we use charge output sensors like the charge output accelerometer, we have seen some problems related to the lenght of the cables, and how we can mitigate the parasitic capacitance of the cables. But what happens with a long cable is that it can couple a lot of electric noise with the circuit itself.
To recap:
- If the source of the signal is a very high impedance source, we need shielded cables.
- And βcharge outputβ have an high impedance source, therefore, shielding is of the upmost importance.
- But there are also other problems related to noise for this kind of devices, which is the noises that are actually generated for instance in the cable, ==this is called βtriboelectric noiseβ and is generated in the cable==.
Suppose we use a coaxial cable, it is essentially made of 5 layers. Therefore, we have different materials and if this materials move one respect to the other for some reason, for instance for a movement of the cable itself, then there may be some charge which is generated for the triboelectric effect. So the cable generates a charge like the sensor does, it canβt be distinguished from the signal itself. β So also the selection of the cable materials is important, there are special cables for this kind of devices in case.
In any case, the cable length should be kept at the minimum, because there are also the electrical noise generated by the amplifier, which is somehow amplified by the length of the cable.
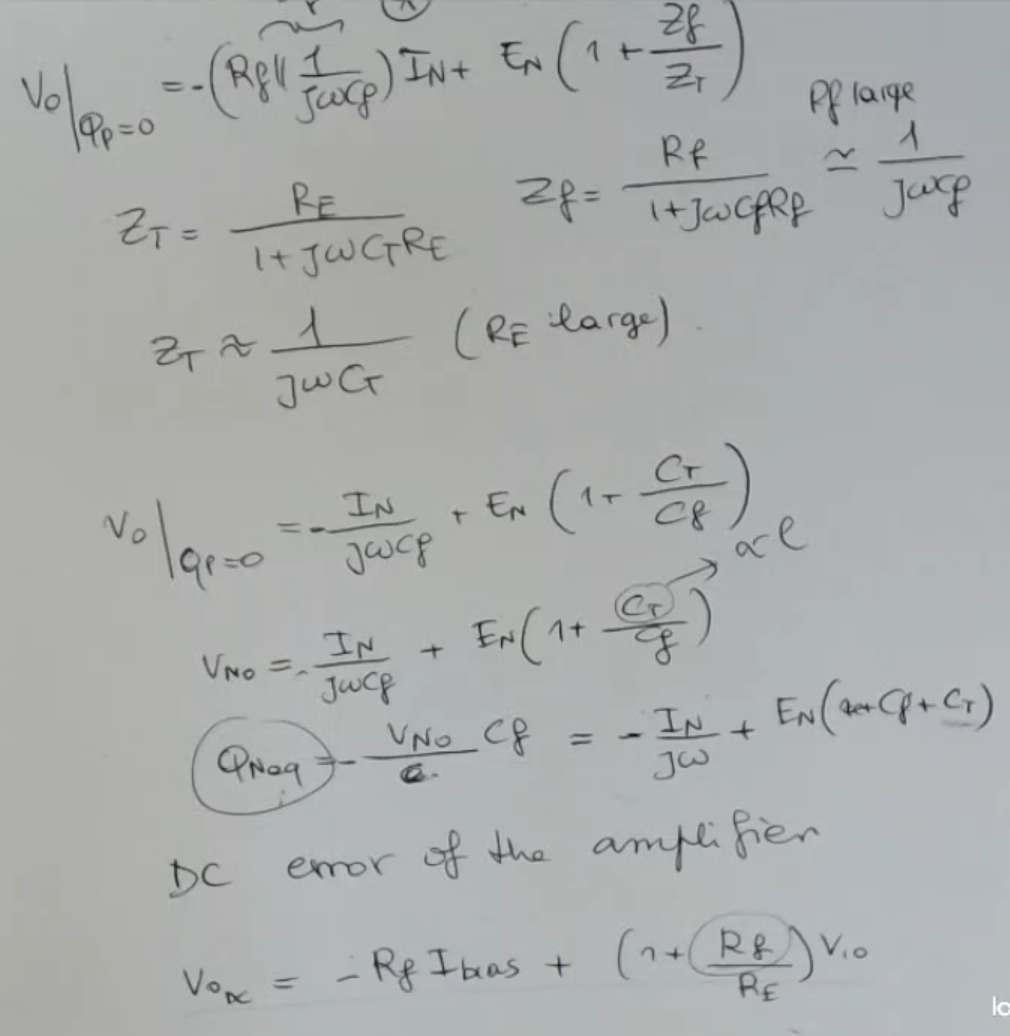
Remeber that the noise generated internally in an amplifier can be modeled this way:
- This is a model of a generic amplifier, which takes into account also the noise, which the amplifier generates internally (modelled as and )
- We anylize only the noises effect so we consider , so the ouptut will be: Where:
- Instead if we consider the error (so for ):Where:
- and are the bias current and the input offset voltage, of an non-ideal amplifier
- But thatβs not all, we will also have a charge:==And this additional charge can be considered as a DC offset of the system== (that depends linearly on the lenght of the cable by ), and has to be summed to the other DC errors of the amplifier, and as you can see you have to carefully select this in order to take in a limited range the DC error.
==But remeber must not be too small otherwise you will charge the capacitance via the bias current and noise current generator (which is worse that having a DC offeset==).- So you have to select a low noise current amplifier, and the right cable.
When using this kind of sensor which are the so called charge output sensors, there are some problems because you use long cables who have seen the parasitic capacitance of the cables somehow is mitigated.
But what happens with a long cable is that this long cable can couple a lot of electric noise with the circuit itself.

- So you see that the source of the signal is a very high impedance source, we need in any case, shielded cables.
- Instead, charge output means having an high impedance source, therefore, shielding is of the upmost importance.
- We need shielded cables, and we need also to select a good quality cable because sometimes shielded cables are made up, so the external shield is made up of a network of metallic wires.
- And for long cables, this can be a problem because remember we have a very small signal and a very high impedance source, so the electrical noise has to be shielded out completely.
- But there are also other problems related to noise for this kind of devices, which is the noises that are actually generated for instance in the cable.
So ==a problem is triboelectric noise generated in the cable==.
- What is the triboelectric effect?
- The triboelectric noise, also known as triboelectric charging, is a phenomenon where certain materials become electrically charged when they come into contact with each other and then separate.
This charging occurs due to the transfer of electrons between the materials during the contact and separation process.
- The triboelectric noise, also known as triboelectric charging, is a phenomenon where certain materials become electrically charged when they come into contact with each other and then separate.
Suppose we use a coaxial cable, it is essentially made of 5 layers:
- Inner Conductor or Wire
- 1st Insulation
- Outer Conductor or Elettromagnetic Shield
- 2nd Insulation
- Outer Jacket or Durable Shield (in particular this shield provides mechanical protection and shields the cable from environmental factors like moisture and physical damage)
Therefore, we have different materials and if this materials move one respect to the other for some reason, for instance for a movement of the cable itself, then there may be some charge which is generated for the triboelectric effect. So the cable generates a charge like the sensor does, it canβt be distinguished from the signal itself. β So also the selection of the cable materials is important, there are special cables for this kind of devices in case we need very long cable, or in case we expect the cable to vibrate.
In any case, the cable length should be kept at the minimum, because there are also the electrical noise generated by the amplifier, which is somehow amplified by the length of the cable.
Remeber that the noise generated internally in an amplifier can be modeled this way:

- So we take the amplifier normal without any noise.
- And we place two different noise generator:
One is a current generator , the other one is the voltage generator . - This is a model of a generic amplifier, which takes into account also the noise, which the amplifier generates internally.
- So this allows to study the effect of noise on the signal amplification.
- We start by anylizing only the noises effect so we consider .
So continuing the calculations:

- So even if we consider really big, we now encounter again the dependency of the output on the cable length, via the term , since and is the cable capacitance, which of course depends on its length.
- We can define this noises as an equivalent charge that accumulates in . ()
βWe can also find an equivalent noise by taking and multiplying it by , because this is, letβs say, the relationship between this charge and the output at the first approximationβ. - The formula is a bit of a mess, so here it is again:
- This additional charge can be considered as a DC offset of the system (that depends linearly on the lenght of the cable), and has to be summed to the other DC errors of the amplifier, and as you can see you have to carefully select this in order to take in a limited range the DC error.
But remeber must not be too small otherwise you will charge the capacitance via the bias current and noise current generator (which is worse that having a DC offeset). - So you have to select a low noise current amplifier, and the right cable.
