Remeber:
An accelerometer is just simple mass-spring-dumper system with two masses:
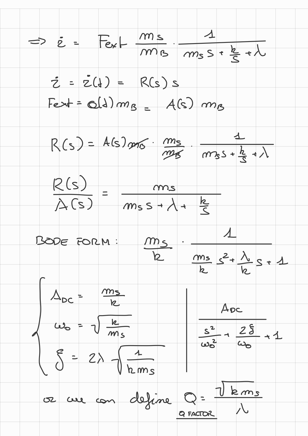
We want to find the relation between the acceleration and the displacement , such that by measuring the displacement we can measure the acceleration, so to calculate it we need:
- Find the Lumped parameter system of this mechanical system (with the two masses):
- Find the Thevenim Equivalent:
Simplifying the Thevenim resistance, since , so we exclude it from the load, since a parallel between , also remember that .- After applying the simplifications:
- Transform into Bode form, to finally obtain the transfer function for a mounted accelerometer:
We can draw two graphs, the Munted Behaviour graph, and the Unmounted Behaviour graph:
- Where the first one (Mounted Behaviour, blue graph), assumes that , so we can simplify the calculation.
- While the second one (Unmounted Behaviour, blue graph), does not make this assumption, and we have that: the gain , the natural frequancy and dumping ratio all depend on , which is not good, this means that every time you change the body on which the sensor is placed, you need to re-calibrate it.
Memory Card


==I have aΒ flat gainΒ and obviously that means that the operating range in the frequency domain is up to a maximum frequency ==
==The sensor has to be used mounted on a large object, otherwise the will depend on the mass of the body β the sensor will have to be re-calibrated each time the change of the body sligtly changes (not good)==.



