Remeber:
==If a wave travels in a homogeneous medium, nothing happens==, let’s see what happens if the medium in not homogeneus. First we need the definition we have given to the acustic impedance:IMPORTANTE
Suppose we have two materials represented by two different acustic impedances:
- Here you can see the phenomena of reflection, part of the wave bounces back, with a different propagation velocity ()
- So we define:And:
- Keep in mind that ==we have considered many idealities (as always) and an infinite plane, and completely smooth surface of the plane==
Up till now we have supposed:
- An infinite smooth plane on which the wave reflects.
- A planar wave, with direction perpendicular to the smooth plane.
Suppose now the wave hits the plane with an angle , called “incident angle”, then we have that the resulting transmitted wave and reflected wave are “tilted” like so
Where:
Memory Card

==If a wave travels in a homogeneous medium, nothing happens==.
Instead when the wave encounters a surface which separates an homogeneous medium and another homogeneous medium (with different characteristics), then that could be a reflection.
Let’s see how to quantify the phenomena of reflection:

- To do this, we have to introduce the acoustic impedance.
- So acoustic impedance is like a generalized impedance.
- The flow quantity (represented as a current) is the speed of the particles, which are vibrating and give the propagation of the wave.
- Whereas the effort quantity (represented as a voltage) is the stress (), or in fluids the pressure ().
- So the power () of the wave would be for us the product of this two quantity.
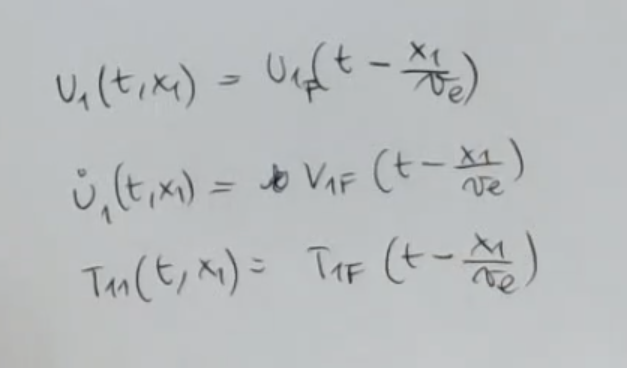
So we refer to this simple plane wave:

- So you will have uniform speed, preassure and stress.
- NOTE: represents “how fast the wave changes form”, the propagation speed is stille .
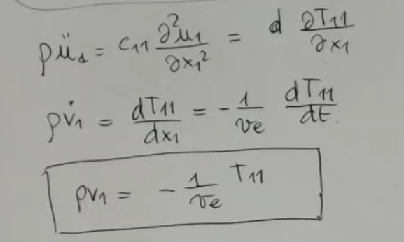
So we can say, using Hooke’s law:

- We change the derivative since integating over time or space is similar, except it is scaled.
So the impedance is equal to:

- is the density as usual.
- So the impedance can be written in this two ways.
- : Bulk modulus ( in the formula is volume)
So suppose we have two materials represented by two different acustic impedances:

- Here you can see the phenomena of reflection, part of the wave bounces back, with a different propagation velocity ()
- It is important that the propagation of the wave is perpendicular to the surface separating and .
- : transmission coefficient for velocity; the ratio between the starting preassure and the pressure of the wave passed through .
(It’s a pure number) - : similar to is a ratio but this time between the propagation velocity.
- is the equivalent of but for the reflected wave, same for and .
We define these coefficient, so that we can describe the “transmitted” and “reflected” part of the wave in terms of and .

- in this formulas are proagation velocities.
- and : reflection coefficients for propagating velocity and stress (indicated by the pedicies and , stands for “reflected”.
- and : transmitted coefficients for propagating velocity and stress (indicated by the pedicies and , the variable name stand for “transmitted”
We have considered many idealities (as always) and an infinite plane, completely smooth:

But I have a different incident angle, which means that I have this is the incident wave:

- So in this case here, if I call these angles: , , .
We know that - While: