Remeber:
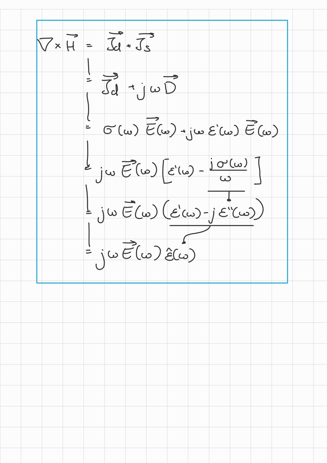
- Complex permittivity can be represented as follows:Where:
- is the real part of the permittivity, representing the “dielectric constant”.
- is the imaginary part of the permittivity, representing the dielectric loss or “conductivity”.
- The real part (), reflects the material’s ability to store electrical energy in an electric field (similar to the dielectric constant, defined as ).
It's associated with the capacitive response of the material.- The imaginary part () , is related to the energy dissipation in the material due to electrical losses (usually in the form of heat) when an alternating electric field is applied.
This component accounts for the conductive properties of the material.- The Complex Electric Permittivity is usually a higly non-linear function that depends on the frequency (Source: Wikipedia):
- The static description that we have seen for dielectric materials, is defined as:Where:
- .
and : frequency.
- We have seen a table that describes a material based on the ratio of its real permittivity and imaginary permittivity (Source: Wikipedia):IMPORTANTE
- Professor’s Notes:
Memory Card

Index
- What is the Complex Electric Permittivity?
- Formulas for Complex Permittivity
- ~ Different Values of Complex PermittivityIMPORTANTE
What is the Complex Electric Permittivity?
- Complex permittivity can be represented as follows:Where:
- is the real part of the permittivity, representing the dielectric constant.
- is the imaginary part of the permittivity, representing the dielectric loss or conductivity.
- The real part (), reflects the material’s ability to store electrical energy in an electric field (similar to the dielectric constant).
It's associated with the capacitive response of the material. - The imaginary part () , is related to the energy dissipation in the material due to electrical losses (usually in the form of heat) when an alternating electric field is applied.
This component accounts for the conductive properties of the material.
NOT_SURE_ABOUT_THIS (This is probabally wrong, since the complex permettivity is a higly non-linar function depending on the frequency )
- ~Ex.: Water: , ⇒ .
- So it’s a good conductor, but a poor dielectric (elettro-magnetic wavesdo not propagate well).
- ~Ex.: Vacum: , ⇒ .
- So it’s a perfect dielectric, E.M. waves do not attenuate, but does not conduct electricity, at all.
Formulas for Complex Permittivity

~ Different Values of Complex Permittivity



