Remeber:
- Capacitive Sensor are often used in MEMS devices to sense Pressure, this is the basic structure, with a fixed plate, and a deformable structure or membrane:
- ==In this case we have to suppose both the membrane and the fixed plate to be conductive and act as one of the plate of the sensor==.
- What our Sensor measures is the average of a differential preassure, specifically the preassure exerted on the membrane () and the pressure inside our sensor ().
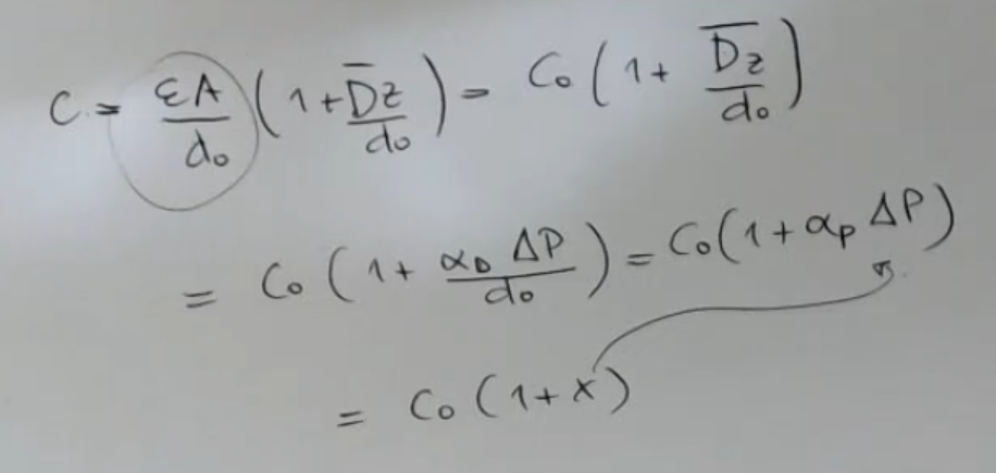
- What we obtain is a linear passive sensor with a formula like this:Where:
Memory Card

Capacitive Sensor are often used in MEMS devices to sense Pressure:

- As a primary sensor, the pressure can be sensed by means of a deformable plate or membrane.
==In this case we have to suppose the membrane to be conductive and act as one of the plate of the sensor==.
Under the deformable conductive memebrane we have a conductive fixed plate. - ==We measure the average of a differential preassure==.

- : average of .
- : un-deformed distance between the two plates (constant).
- : average distance.
- : radius of the two circular plates.
- : our variable.
- : sensitivity.
- : sensitivity.
- == is a linear function of the pressure==:
Formulas used in the average integration:
- Definition of average:
- Change of Basis:
- βMultipliedβ the integral by:
