Remeber:
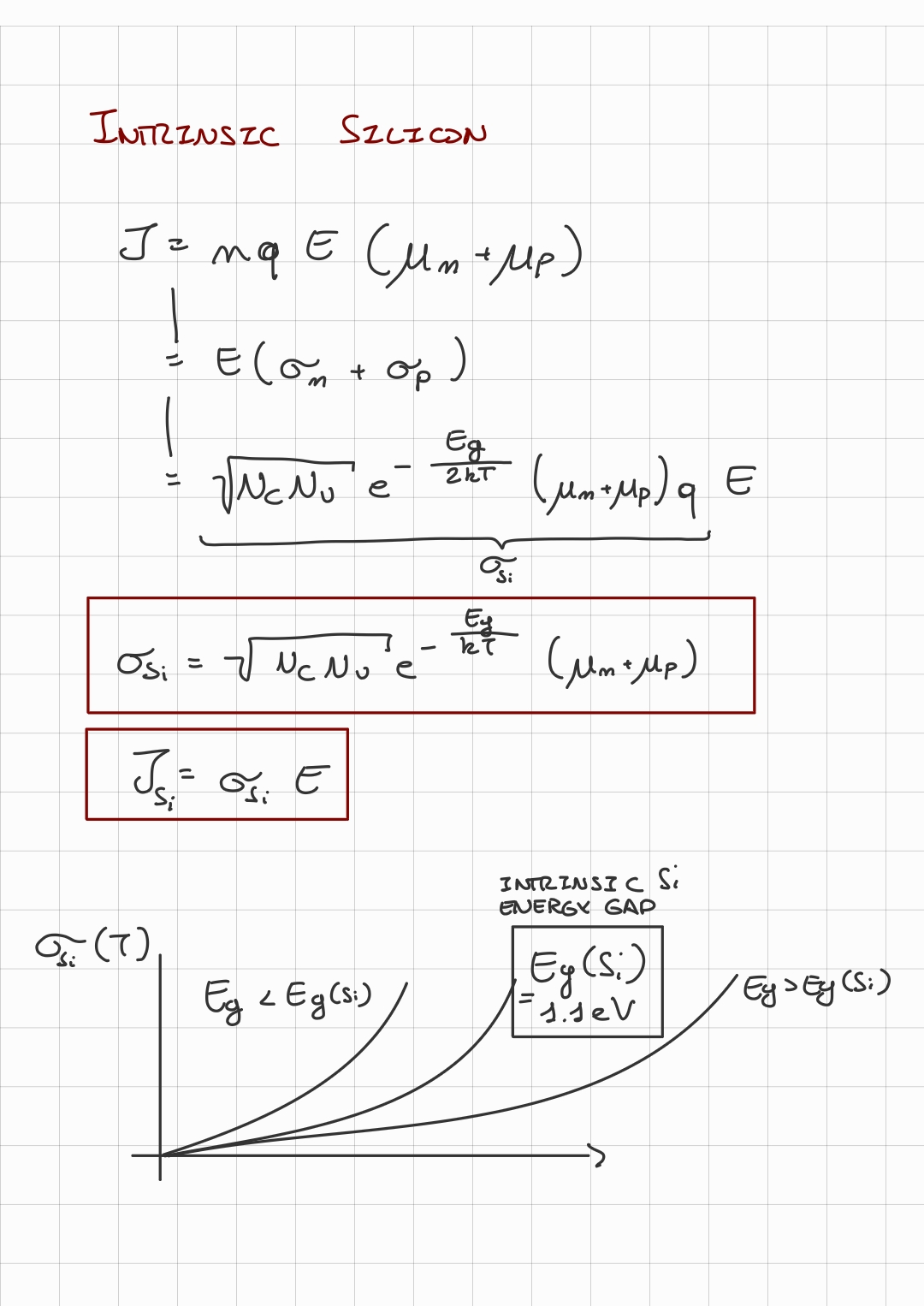
The conductivity for n-type doped Silicon is:The mobility for n-type doped Silicon is:The mobility for p-type doped Silicon is:
The mobility and conductivity are related by this formula:
We can calculate the electric current density we can use this formula:Or:
Memory Card

