Index
- Fermi Energy
- Electron and Hole Density of States Functions
- Density of Carriers
- Density of Carriers in Different Medium
- The Fermi-Dirac Dependence on Temperature
- The Fermi’s Energy Dependence on Temperature
- Energy Gap and Carriers Dependance on Temperature
- Instrinsic Mass Action Law
Fermi Energy
We started by saying that at Kelvin all the electrons are here in the Valence Band, and no electrons are in the Conduction Band. What happens when we go to a temperature which is different from Kelvin? To understand this, we have to look at the probability that an electron occupies a given energy state (or level).
==The Fermi-Dirac distribution gives the probability that given a certain energy state with an energy level value , this value is occupied by the electron==, and it is defined as follows:Where:
- is the energy that the electron takes.
- is the Boltzmann constant .
- is the temperature in Kelvin.
- Whereas is a special energy level, which is called Fermi’s energy.
Electron and Hole Density of States Functions
Then we have to remeber the density of states functions, these represent the density of states in the conduction band (at a certain energy level ): $$N_C(E) = \gamma\left(\frac{m_e^{*}}{m_0}\right)^{\frac{3}{2}}\sqrt{E-E_C}$$$N_C(E)E$. It tells you how many electrons can potentially occupy a specific energy level in a material.
The density of states in the valance band (at a certain energy level ):Where:
- : a really small value that represents the “effective density of states”.
- : planck constant
- : effective mass of the electron (dependent on the material)
- : effective mass of the hole (dependent on the material)
- : mass of the electron
- : Conduction band lowest energy, (rember the CB in defined by ).
- : Valance band highest energy, (rember the VB in defined by ).
- This functions can be represented as:

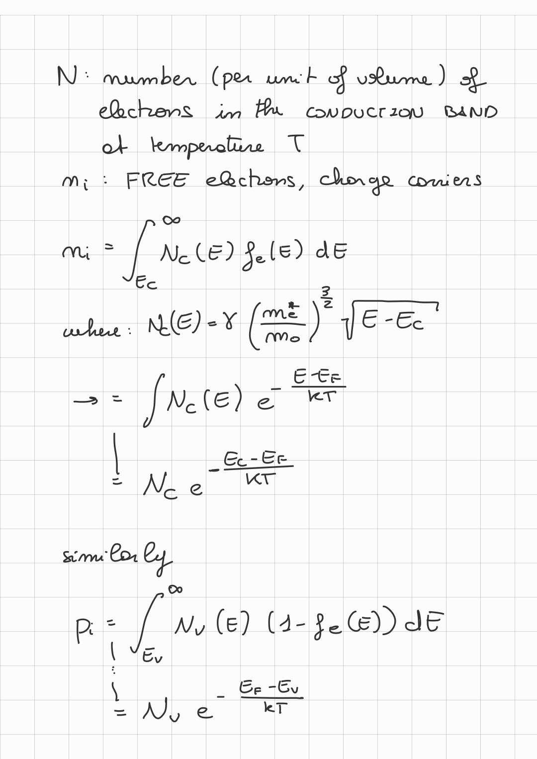
Density of Carriers
Now if we wish to know the exact density of free electrons and free holes, so of carriers (free electrons and free holes will aid to conduction), we can integrate the density of states of the Conduction Band with the fermi energy like so, the density of electrons in the Conduction Band is:And, the density of holes in the Valence Band is:Where:
- : is the probability of finding a hole at a certain energy .
NOTE: We don’t care about the electrons in the valance band and of holes in the conduction band, since they are not carriers.
NOTE: We are talking about and , the suffix stands for instrinsic. They are the density of carriers present in an intrinsic semiconductor, we will use them only for Silicon, but this formulas are general for every intrisic semiconductor.
We will find that:And:Where, this time:
- and do not depend on , we can think of them as constants depending on the material and temperature.
For Silicon at room temperautre (), we have that:- Also we have that
Density of Carriers in Different Medium
So for intrinsic Silicon at room temperautre assumes the value that represent (approximately) an insulator.
Instead we have that, more generarly:
- For metals (conductors) we have that:
- For insulators we have that:
Silicon at room temperature is about in the middle, but closer to an insulator than a metal.
The Fermi-Dirac Dependence on Temperature
We can see that the Fermi-Dirac Distribution depends on temperature looking at its formula:

- If we work at the formula assumes a steep curve, in fact at we have all electrons in the valance band (under the fermi energy).
- However at higher temperatures the curve gets more smooth.
The Fermi’s Energy Dependence on Temperature
Not only the Fermi-Dirac probability () depends on temperature, but also the Fermi’s Energy ().
If we have an intrinsic semiconductor, at the Fermi’s Energy is defined like so:Where:
- is called the Intrinsic Fermi’s Energy.
- , for silicon the gap spans for a total of .
- For Intrinsic Silicon
While more in general the Fermi’s Energy is given by:Although for intrinsic Silicon the ratio between and is usually very close to , so will be almost equal to , however too depends on temperature.
Energy Gap and Carriers Dependance on Temperature
We have that:While we can see the energy gap dependence on temperature as:
So, since depends on we can draw this graph:

- We have that both and depend on temperature, so if we change the temperature too much we will have a change of behaviours, from insulator to metal (conductor) behaviour.
Instrinsic Mass Action Law
In intrinsic Semiconductors we have that: So we can simplify and say:Where:
- is the energy gap, defined as , for intrinsic silicon .
NOTE: In intrinsic semiconducotrs it is always true that:
Complete Notes

- The integral for is wrong:

