Remeber:
IMPORTANTE We have seen the resistive bridge, let’s see how the equations change when we consider a brige with 2 resistive sensors, instead of one:
- We put the two sensors in “opposite sensing direction”, so if we were to describe them we could say:
- Then we define and such that the bridge is balanced, so we define the -ratio:
- Finally if we calculate we will obtain:If we consider and , we can simplify the equation, resulting in:Finally if , so they both measure the same change:
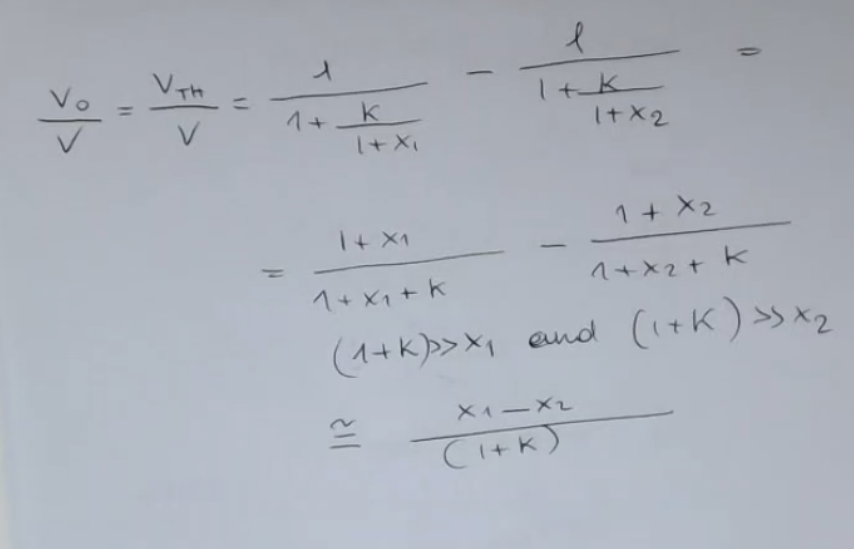
IMPORTANTE It is called a half-bridge because if we perform the same calculation as before for “Optimizing the Relative Sensitivity of the Bridge”, so:
- Calculate:
- Calculate , than calculate:
- Find such that:
- Find such that is maximied, and we will obtain that for we will have and the final result will be:That’s why it is called “half” brige.
The simple resistive bridge or (” brige”) is called like that because if we perfom the same calculations we will obtain:.
What are the gains of using a half bridge instead of a brige?
- ==If and the half bridge behaves linearly==.
- It has higher sensitivity.NOT_SURE_ABOUT_THIS (higher relative sensitivity perhaps, the sensitivity of the “quarter bridge” is not linear, so at specific points it might be higher that that of the “half bridge”)
- However it requires two sensors, so requires more space, and has a higher cost.
Memory Card


Define our two sensors:
Consider it a balanced bridge, so:
As usual, I consider the output and consider to work with no load (or an infinite load given by an ideal differential amplifier, infinite load ⇒ open ciruit) so I have the output which is equal to the open circuit differential voltage:
So we calculate and we obtain:
- Notice how the two sensor oppose each other:
This is easily fixed by inverting one of the two:
An half-bridge has some advantages with respect to the brige:
It is called a half-bridge because if we perform the same calculation as before for “Optimizing the Relative Sensitivity of the Bridge”, so:
- Calculate:
- Calculate , than calculate:
- Find such that:So such that is maximied.
And we will obtain that for we will have , such that: The simple resistive bridge or (” brige”) is called like that because if we perfom the same calculations we will obtain:.