Remeber:
Let’s take for example the longitudinal wave definition:If we expand the term, we can write: ==We have that the derivative over time and the derivative over space of a wave have a linear relationship, they assume the same values only scaled of a factor ==.
So if I define in such a way that this relationship is granted, I find that:We will se the meaning of each term.
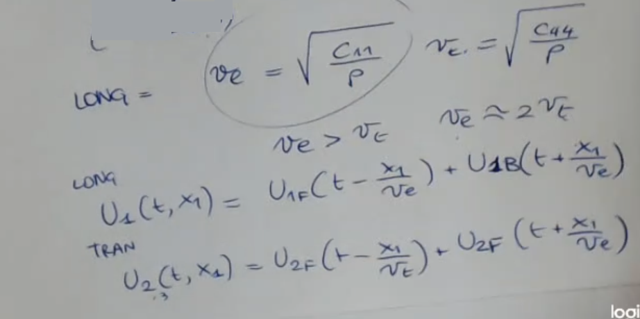
In the same media we can have two velocity for a waveIMPORTANTE :Where:
- and come from the collapsed stifness tensor for isotropic materials.
- is the density of the material.
- This two velocities relate to the longitudinal wave and transverse wave.
Usually we have thatIMPORTANTE :
So we can define the “components” of a generic planar wave (, primitives of ), as:Where:
- and are functions of any shape.
- and : function of any shape that propagates Forward.
- and : function of any shape that propagates Backward.
- We consider only and since we need only to consider 2 components for a planar wave: the ones that move longitudinaly and the ones that propagates transverely to the propagtion of the wave ( can just be incorporetad into ).NOT_SURE_ABOUT_THIS
For ultrasonic waves we can define the wavelength as:IMPORTANTE
Here are some specific values for in different materials, and for in a solid (Steel):IMPORTANTE
- In solids the propagation of the wave is can be an order of magnitude higher that in fluids.
- For Air: .IMPORTANTE
- For Steel: and .IMPORTANTE
Here’s an example of a generic ultrasonic wave function: the “sine plane wave”.IMPORTANTE
And from the “sine plane wave example” let’s focus on the formula:Which is the period the wave fixed in time:
Memory Card

Let’s start with this formula:This is equal to:==We have that the derivative over time and the derivative over space of a wave have a linear relationship, they assume the same values only scaled of a factor ==.
So if I define in such a way that this relationship is granted, I find that:We will se the meaning of each term.
In the same media we can have two velocity for the wave:

- (longitudinal velocity) or (for trasverse or shear velocity).
- So in a fluid you can only have
- Also
- Longitudinal or Planar wave case:
- : function of any shape depending on (time) and (direction ).
NOTE: it is the primitive of the we have seen untill now, and it represents the “position” of the wave.
NOTE: a wave propagates as a difference of time and space, a wave has two velocity, one of propagation “how much fast it travels”, and one of change “how fast it changes”, the first is defined as we see before, the second by integrating over time (or space).NOT_SURE_ABOUT_THIS - : function of any shape that propagates Forward
- : function of any shape that propagates Backward
- : function of any shape depending on (time) and (direction ).
- In the tranverse formula there is an error, I rewrite it:
- NOTE: the tranversal wave is and depends on , the indeces are important.
Similar to the longitudinal wave were we have that depends on .
We will analyze only one component of a wave: but remember that this waves can have components: , , .NOT_SURE_ABOUT_THIS
For fluid we define better :

- The Bulk Modulus is the same thing of and it is defined as
- The we have some examples for different fluids.
We have defined the Bulk Modulus in fluids which is the same thing as and it is defined as . (NOT IMPORTANT)NOT_SURE_ABOUT_THIS The bulk modulus should actually be defined as: , while .
We take for instance a sine plane wave, and we take only a forward-propagating wave, so we define that we said was a generic function as:

- We can define the wavelenght , related to both speed and frequency.
- : wave speed.
- At a fixed frequency ⇒ depends linearly on the , so the larger the speed the larger the wavelength.
- If we think about a small transduer TX, that vibrates at the frequency related to the ratio , so I generate the wave in the medium with a wavelenght well known.
- The plot you see is a “photograph” of the wave, so the wave at a fixed time , and you see how it propagates along , and how the wavelength is defined.
- We can use the wavelength or speed to find some difects in a material, since for example the wave travels in air 20 times slower than in steel, if a block of steel presents a pocket of air an ultrasonic sensor can find it.
Sine Plane Wave

- We consider it only going forward.
- We can also define the wave number: , and the wave vector:
We can look at some values:
(this is considered the longitudinal transverse speed)
⇒ Therefore, ultrasonic transducers use different frequency to perform ultrasonic analysis in different media.
==For transverse wave, we have approximately half the wavelength, since ==.
The wavelength is an important parameter of the wave field. Sepending on the wavelength, different interaction with obstacle occurs. So we can have a reflection, scattering, diffraction, depending on the ratio between the obstacle and the wave.

