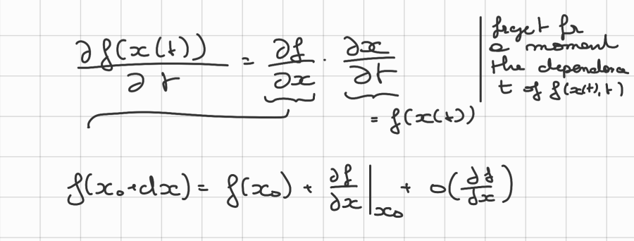
Formula (not the final one, read at the end):Where:
⇒
==I dont want to compute the derivative over time of ==;
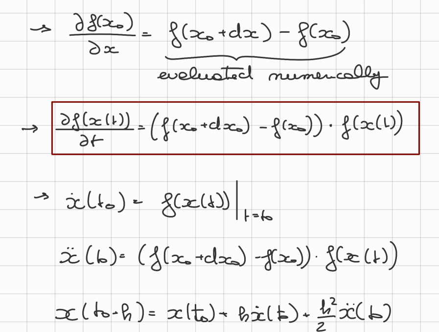
⇒ So we want the result of using only and , so we can:

Resulting in: Mid Point Method:
Search
Oct 01, 20241 min read
Formula (not the final one, read at the end):x(t0+h)=x(t0)+hx˙(t0)+2h2x¨(t0)Where:
==I dont want to compute the derivative over time of f(x(t0),t0)==;
⇒ So we want the result of x¨(t0) using only x(t0) and f(x(t),t), so we can:

Resulting in: Mid Point Method: x(t0+h)=x(t0)+hf(x0+2hf(x0))