Formula:Where:
- is a vector, usually a vector.
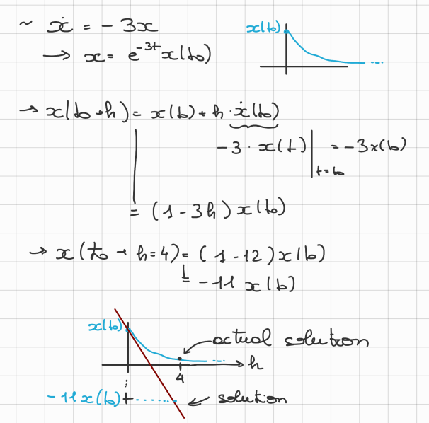
It’s a good method but a little unstable, ==if is too big the system does not behave properly==.
~Ex.:
- Cosa si intende per ‘Metodo di Eulero’, puoi fare degli esempi?
(ChatGPT 4o)- ==Il Metodo di Eulero è un semplice metodo numerico utilizzato per risolvere equazioni differenziali ordinarie (ODE). In molte applicazioni, come la robotica e la simulazione fisica, le equazioni differenziali vengono utilizzate per descrivere il movimento e le dinamiche di sistemi complessi. Tuttavia, non sempre esiste una soluzione analitica (esatta) per queste equazioni, quindi si ricorre a metodi numerici come il metodo di Eulero per approssimare la soluzione==.
- Concetto del Metodo di Eulero:
- Il Metodo di Eulero approssima la soluzione di un'equazione differenziale risolvendo iterativamente l'equazione nel tempo.
==L’idea di base è quella di utilizzare l’informazione sulla derivata della funzione in un punto per predire il valore della funzione in un punto successivo==.
- Il Metodo di Eulero approssima la soluzione di un'equazione differenziale risolvendo iterativamente l'equazione nel tempo.
- Equazione differenziale di base::
- Considera un’equazione differenziale ordinaria di primo ordine:Dove:
- è la funzione incognita che vogliamo approssimare.
- è una funzione nota che descrive il tasso di variazione di rispetto a .
- Il Metodo di Eulero ci permette di stimare i valori di utilizzando un passo temporale discreto .
- Considera un’equazione differenziale ordinaria di primo ordine:Dove:
- ==Formula del Metodo di Eulero==:
- Dato un valore iniziale in , il metodo di Eulero calcola il valore della funzione nel passo successivo come:==Questo processo può essere ripetuto iterativamente per trovare la soluzione approssimata a , , e così via==.
- Esempio 1: Crescita della popolazione:
- Supponiamo di avere un modello molto semplice di crescita della popolazione, dove il tasso di crescita della popolazione è proporzionale alla popolazione stessa. L’equazione differenzialeè:Dove è la popolazione al tempo e è la costante di crescita. Supponiamo che inizialmente, e che .
- Applichiamo il Metodo di Eulero con un passo temporale :
- Al tempo , .
- Al tempo , .
- Al tempo , .E così via.
Il metodo fornisce un’approssimazione della popolazione nel tempo.
- Esempio 2: Oscillatore armonico semplice:
- Consideriamo ora un sistema dinamico più complesso, come l’oscillatore armonico semplice, che descrive il movimento di una molla o di un pendolo, con l’equazione differenziale:Dove è la posizione dell’oscillatore, è la costante elastica della molla, e è la massa. Questa è un’equazione differenziale del secondo ordine, ma può essere riscritta come un sistema di due equazioni del primo ordine:
- Definiamo la velocità , quindi l’equazione diventa: Applichiamo ora il Metodo di Eulero con passo per calcolare posizione e velocità nel tempo.
- Supponiamo che inizialmente la posizione , la velocità , la costante elastica , e la massa .
- Al passo iniziale : Al passo successivo : Questo processo continua per ogni passo temporale. Il Metodo di Eulero approssima quindi l’andamento dell’oscillatore armonico nel tempo.
- Consideriamo ora un sistema dinamico più complesso, come l’oscillatore armonico semplice, che descrive il movimento di una molla o di un pendolo, con l’equazione differenziale:Dove è la posizione dell’oscillatore, è la costante elastica della molla, e è la massa. Questa è un’equazione differenziale del secondo ordine, ma può essere riscritta come un sistema di due equazioni del primo ordine:
- ==Limiti del Metodo di Eulero==:
- Precisione: ==Il Metodo di Eulero è relativamente semplice e veloce, ma non è molto preciso, soprattutto se il passo temporale è troppo grande. Errori di approssimazione si accumulano rapidamente==.
- Stabilità: ==Per alcuni sistemi dinamici, come quelli con oscillazioni rapide (ad esempio l’oscillatore armonico), il metodo può essere instabile se non è abbastanza piccolo==.
- Per risolvere problemi più complessi con maggiore precisione, si utilizzano metodi numerici più avanzati, come il Metodo di Eulero Modificato (o metodo del punto medio) o i metodi Runge-Kutta.
- Spero che questo chiarisca il concetto di Metodo di Eulero e come viene applicato nella risoluzione numerica di equazioni differenziali!