Ricorda:

Esempio ODE Standard:
Formula (ODE 2° ordine):Approssimazione ad un sistema di due equazioni differenziali di 1° ordine:Riconducendo il tutto alla forma dove :In generale defineremo:Ma i calcolatori lavorano nel discreto, per cui non esiste propriamente, e:Dove:

  • è l’intervallo.
  • .
    IMPORTANTE Vengono usate le stesse lettere come nell’algoritmo di rendering, ma in questo caso è un numero puro intero, è una costante di tempo.

Per determinare si utilizza il metodo di Eulero, il quale consiste nell’approssimare alla sua espansione di Taylor al primo ordine:N.B.: Se si conoscessro tutte le derivate di in un punto si potrebbe prevederla in un futuro qualsiasi. Quindi possiamo dire che: Tale approssimazione ha però forti limitazioni, si prenda ad esempio una molla:( : coefficiente elastico)
Secondo l’equazione di Eulero, e alla formula che abbiamo visto prima:Possiamo quindi scrivere che per questo esempio avremo:Dove:IMPORTANTE

  • , rappresenta il moltilplicatore dell’instante .
  • è il coefficiente elastico

Poiché si è nel caso monodimensionale:Per la stabiltà si impone che . (Ovvero un sistema a tempo discreto è asintoticamente stabile, o semplicemente stabile se tutti gli autovalori della matrice hanno modulo (cioè valore assoluto) strettamente minore di . Questo implica che, a lungo termine, le soluzioni del sistema tenderanno a , o a un punto di equilibrio):Dunque più alto è , più diventa piccolo e peggiore è il real-time. ==Quando si parla di real-time si intende un abbastanza grande in modo che il calcolatre abbia tempo di appunto calcolare il risultato, o l’approssimazione==. Il fatto che riscontriamo un problema numerico fa capire che l’approssimazione è piuttosto grossolana.

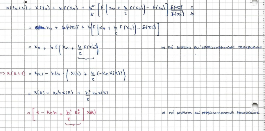
Vediamo invece lo stesso esempio, ma stavolta si utilizza il metodo del mid-point, il quale considera il anche secondo termine derivato dell’espansione. Si supponga di avere un sistema ad evoluzione libera:La derivata seconda è stabilita sempre tramite l’espansione di Taylor svolta su :Dove:Ma non si conosce , secondo il metodo del mid-point:In modo da semplificare questa espressione. Dunque sostituendo tutto nell’equazione iniziale:Che possiamo scrivere propiamente in tempo discreto, utilizzando i dati del problema come:Il termine aggiuntivo permette maggiori.


La dinamica in generale degli oggetti è descrivibile attraverso ODE e il problema più grande in simulazione è troncare risolutori di equazioni differenziali al fine di avere il real-time. Si fa dunque uso di semplificazioni.

Un esempio di oggetto dinamico è:
Con ODE:Quindi un ODE di 2° ordine e dipende dal tempo. Si approssima ad un sistema di due equazioni differenziali di 1° ordine:La dimensione del vettore è pari all’ordine dell’equazione (quindi: ). Risolvendolo:Dunque riconducendo il tutto alla forma dove :

Si consideri ora lo spostamento di un oggetto in uno spazio 3D (esempio caso multivariable):Dove: Si definisce lo stato:Per passare a equazioni differenziali di grado :Dove: le componenti della massa sono uguali , ma quelle dell’inerzia sono diverse:
NOT_SURE_ABOUT_THIS Quali sono i componenti dell'inerzia? Dove:

  • è una matrice di soli .
  • è la matrice d’indentità .
  • Quindi:

In generale:Ma i calcolatori lavorano nel discreto, per cui non esiste propriamente, e:Dove:

  • è l’intervallo.
  • .
  • IMPORTANTE Vengono usate le stesse lettere come nell’algoritmo di rendering, ma in questo caso è un numero puro intero, è una costante di tempo.

Per determinare si utilizza il metodo di Eulero, il quale consiste nell’approssimare alla sua espansione di Taylor al primo ordine:N.B.: Se si conoscessro tutte le derivate di in un punto si potrebbe prevederla in un futuro qualsiasi.

Tale approssimazione ha però forti limitazioni, si prenda ad esempio una molla: Secondo l’equazione di Eulero:Poiché si è nel caso monodimensionale:Per la stabiltà si impone che :Dunque più che è alto, più diventa piccolo e peggiore è il real-time. Il fatto che si ha un problema numerico fa capire che l’approssimazione è piuttosto grossolana.

Si utilizza dunque il metodo del mid-point, il quale considera il secondo termine derivato dell’espansione.

Si supponga di avere un sistema ad evoluzione libera:La derivata secondo è stabilita sempre tramite l’espansione di Taylor svolta su :Dove:Ma non si conosce , secondo il metodo:In modo da semplificare questa espressione. Dunque sostituendo tutto nell’equazione iniziale:TODO Riscrivere i calcoli in fondo all pagina Otteremo infine, in tempo “continuo”:Ed in tempo discreto:Il termine aggiuntivo permette maggiori.


  • Calcoli per arrivare alla conclusione:
    • (TODO Non ho voglia di riscriverla per bene, ma da notare che nelle note viene scritto o il termine viene usato per distinguere questo il coeffiente d'attrito trovato in precedenza, in ongi caso questi termini io li ho scritti in queste note come: E HO SBAGLIATO, è utile differenziarli, ci sarebbero da riscriverli tutti )