Impedance
Impedance: →
For a given force the smaller the impedance → the higher is the velocity and viceversa.
~ Ex.: Mass-Spring Problem:
Impedance:
For a given system the higher is the impedance, the lower will be its velocity.
An higher impedance brings more stability to the system.
Compliance:
For a given system the higher its compliance the higher the velocity.
Transparency
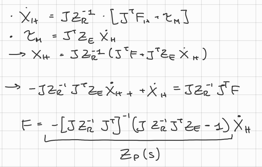
- : impedance of virtual environment
- : impedance of the robot

I want to simulate an so given the we can have:
For this particular robot the only way to give a force feedback is to apply a torque so:
where is the Jacobian Matrix. But there are 2 torques to be summed: the torque of motor and that of the human

Then the torque will be:
Also remember that:
Then:
What is really felt by the human is the Force of the human itself and the velocity which is controlled by both and →
where is the impedance perceived by the human.

And:
