

- The solution to this system is a sequence of values .
- A discrete time system is also called a map.
- We will only see monodimensional maps, so ( is a scalar and not a vector).
- We will see a logistic map, that shows deterministic chaos, and it is a monodimensional system.

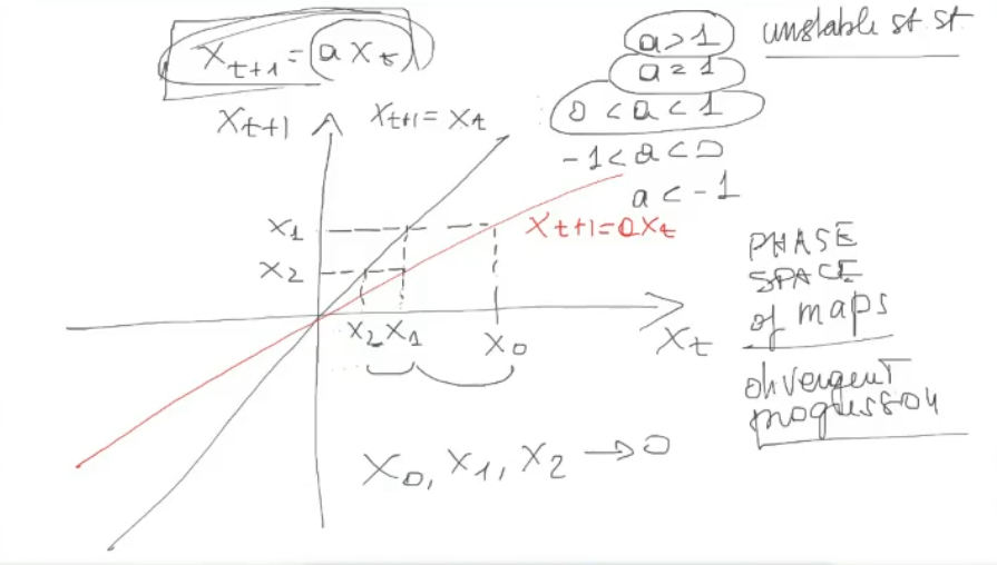
- When we reach a steady state, the state will remain the same, so: .
- is called geometric progression.

- is the initial term.


- This plot is defined as the phase space of maps.
- On the bisector line we have that all .

- Here we have reported (red line) the function: , for .

- We can report how the system evolves with a positive inital condion .

- And also for a negative inital condion.
- In both cases we have divergent progression.

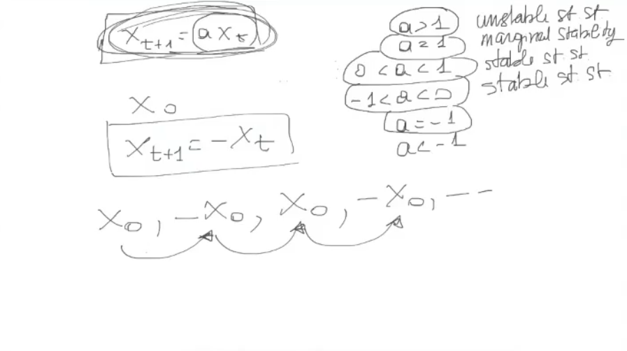
- For , any is a steady state.

- If we represent like before the line (which is the bisector), and in red the line representing the function: , as we can see, for , the two lines coincide.

- For , we have a convergent progression, toward .

- For rember that we have an alternation of the sign, let’s see how.

- Again a convergent progession.

- For .

- For instead we have a divergent progression, towards (or unsigned infinity).
- These graphical representations are called “cobweb”, and it is similar to how we represent the flow for continous dynamical system.
- As you can see in the discrete case, we now have “jumps” from one value to another.

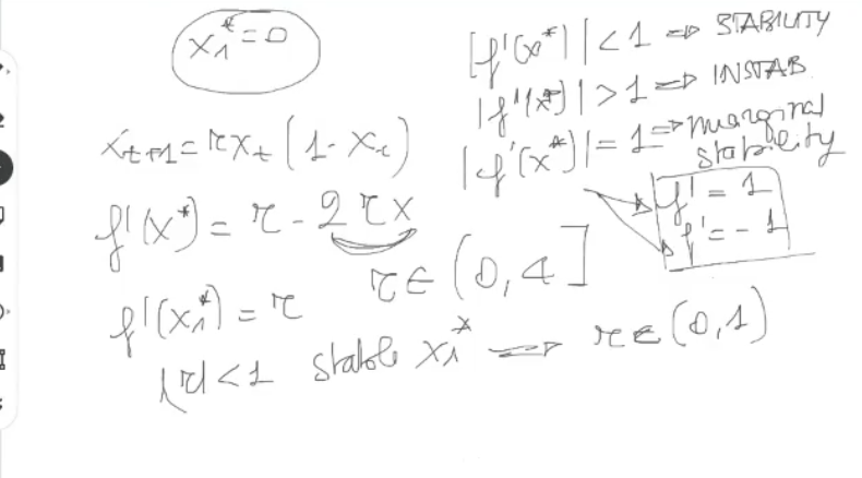
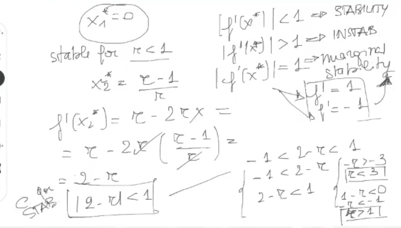
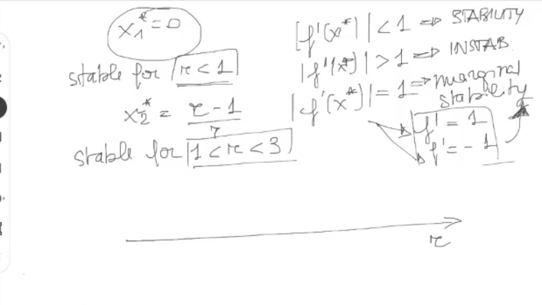
- There is an error in the slide, it should be , so is excluted.

- is defined as: .


- In discrete case we can have a new type of bifurcation: the “flip bifurcation”.
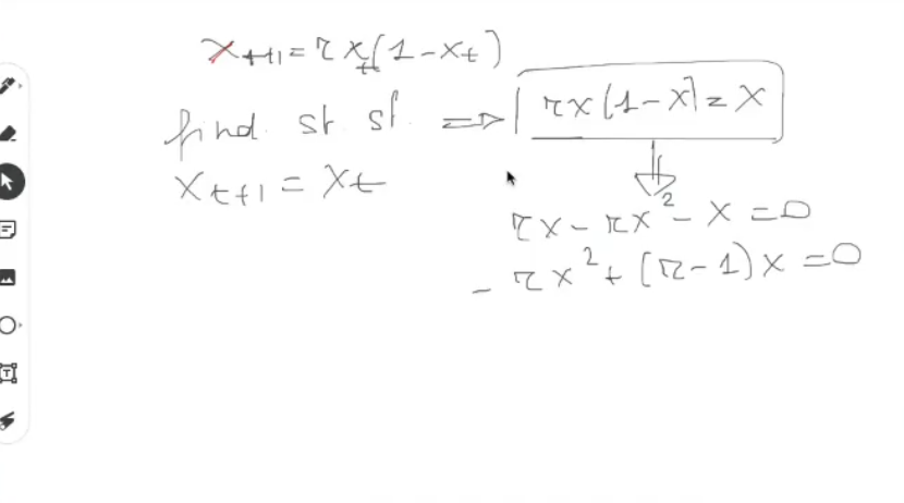
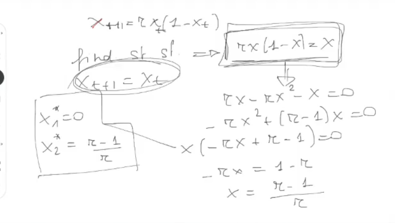
Some calculations (Lecture 20 - Part 2 @ 11:20 ~ 30:30):







- So the flip bifurcation is the equivalent of the hopf bifurcation for dicrite time systems.



- Function
logistic_cobweb(r, x0, n), where:r: parameter .x0: initial conditions.n: number of iterations/steps.
- This are the results for
logistic_cobweb(r=0.6, x0=0.4, n=20)

- Step 1.

- Step 2

- Step 20.
- This confirms that this is an asympotically stable bahaviour.

- Progression of values.

logistic_cobweb(r=1.2, x0=0.4, n=20)- Notice that this time there are two intersections between and the bisector.

- So we have a steady state .
- If we calculate it, it is at .

logistic_cobweb(r=1.2, x0=0.1, n=20)

- Again it converges to the same ss as before.

logistic_cobweb(r=2.0, x0=0.4, n=20)- The ss has moved up, and it is still attractive.

logistic_cobweb(r=2.0, x0=0.9, n=20)

logistic_cobweb(r=2.8, x0=0.3, n=20)

- The system oscillate, but still converges to the ss.

logistic_cobweb(r=3, x0=0.3, n=20)

- Transient dynamic.

logistic_cobweb(r=3.1, x0=0.3, n=100)


logistic_cobweb(r=3.3, x0=0.3, n=100)


logistic_cobweb(r=3.5, x0=0.3, n=100)- The trajectory now oscillates beetween points, instead before we could say that it oscillated between points.

- This is the equivalent of the period doubling.

logistic_cobweb(r=3.8, x0=0.3, n=100)

- Chaos

logistic_cobweb(r=3.8, x0=0.1, n=200)- Like for the continous case, we can see that the trajectory will touch every single point in the phase space, without ever assuming the same value twice.

- Lecture 20 - Part 2 @ 53:10 ~ 54:50
- Lecture 20 - Part 2 @ 55:15 ~ 58:51

- : the origin is an attractive state.
- : the positive state value begins to rise (the oringin is no longer a stable ss).
- : we have the flip bifurcation, and in the graph we represent the two points of the oscillation.
- : each of the two branches has its onw flip bifurcation.
- : each of the four branches has its onw flip bifurcation.
- Then we have chaos.
- As you can see there is a white space in this graph, at about this is the so called “periodic window”.

- Close up of the periodic windows.

- Here we can see that we have periodic windows, we can count the number of “points” in each of them and we can say that:
- The first periodic window at is of period .
- The second periodic window at is of period .
- The first periodic window at is of period .