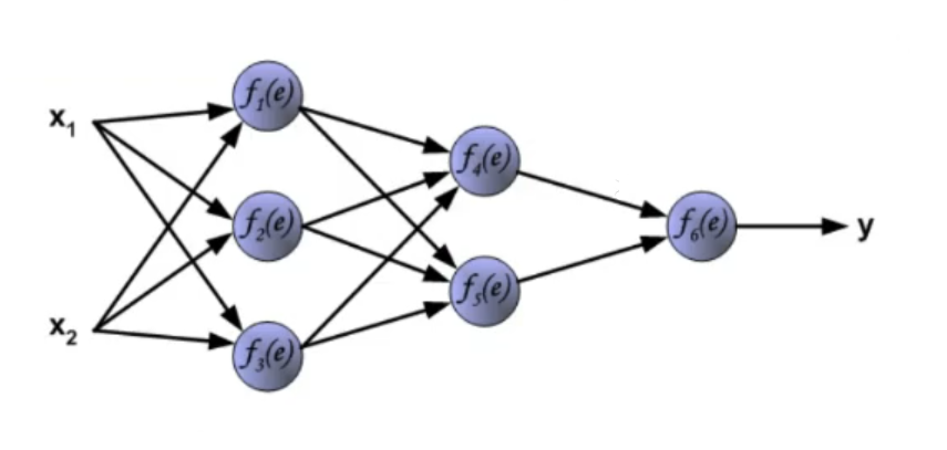
All Slides of Artificial Intelligence




~Ex.:
- : Probability that (the person knocking on our door) is female.
- : Probability that is male.
- : decision boundary.



==First 2 Principal Components== : the first 2 eigen-vectors of the covariance matrix of the Gaussian distribution of the data.




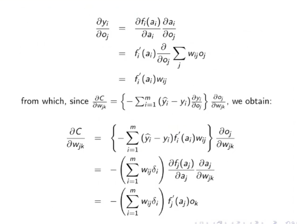
Where:
- is the gradient of the log-likelihood function with respect to

Referring to the second “Note*”*:
- : real probability that , the data or variable we want to classify belongs to/is identified as the class (~ex.: in reality the percentage of male and female is ).
- : : estimated probability of (~ex.: we estimate that the the percentage of male and female is , tho this is not actually true).
- : estimated error probability for the class .


The idea of projecting on is the same as in the Unscented Kalman Filter and the Particle Filter, creating a pdf given some data:














NOTE: We can use this to worsen the data to use in the training test, so to make a more robust model.
















(Not to study):





And so on, until we find a solution, usually it is not the optima one, to search for it we should search the whole tree.






