~Example: ‘Estimate the Position of a Car’

Basic Estimation Problem

LTI Estimation Problem
LTI (Linear Time Invariant)

LTI Estimation Problem with Measurements

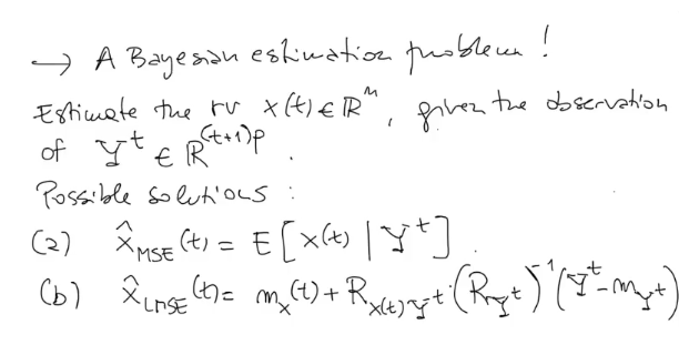
NOTE: This solution are at time , so for any instance we can calculate the solution using the 2 formulas (a) or (b), but we can speed up the computation of this formulas (especially) the second one, using the KF (Kalman Filter) algorithm, which is an iterative algorithm.