- Starting Knowledge:

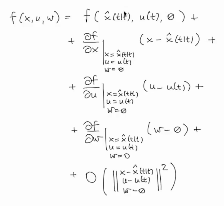
- Taylor expansion on the function:

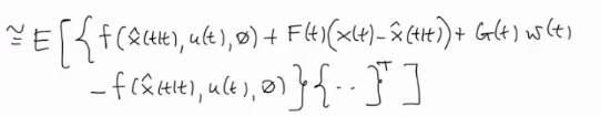
- Neglect the last term and we obtain:
Where:
and are Jacobean matrices
So we can re-write as:

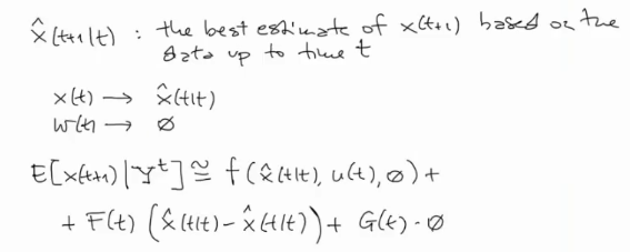
- Calculate the estimate of :

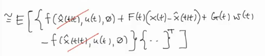
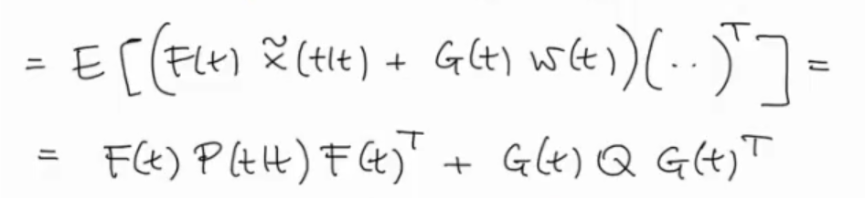
- We have defined as the covariance matrix of the error of the prediction and true value , so:

Exactly like in the linear case, the only difference is that and are now time varying matrices, so because and are uncorrelated we can write:
From the definition we gave to we have that:
And from the definition of Covariance Matrix, and knowing that the mean of is :
We can conclude that:
And obtain the 2nd formula of the EKF algorithm:
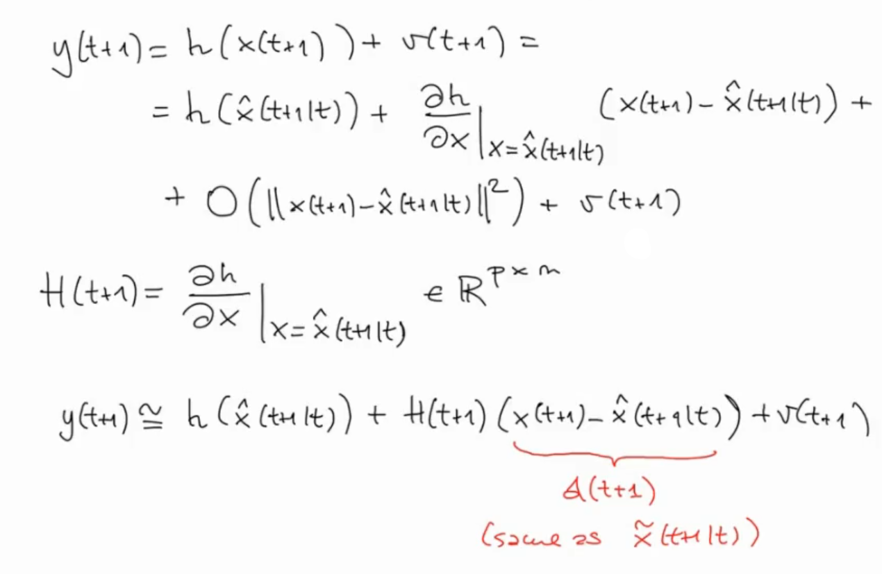
5. We can now start with the correction step:
The following step will be very similar to the previous ones.
6. Taylor expansion of the function:
So we have:
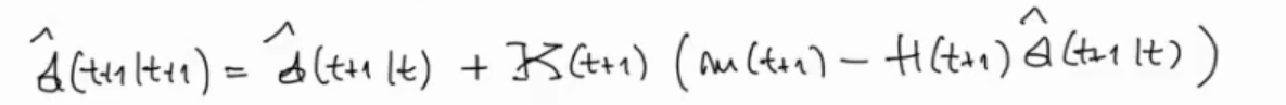
- After declaring we need to find its estimate:
- Its covariance:

- Then we can say that, using the same formulas from the KF algorithm:
Obtaining the 3rd formula of the EKF algorithm:

- Where the Kalman Gain, , is given by:
(4th formula of the EKF algorithm, taken from the KF algorithm) - Also taken from the KF algorithm, the 5th formula of the EKF algorithm:
