-
Sensor fusion:
So given measurement of the same state , where each sensor has it’s own model , we can still apply the KF to find the estimate , this time with more information, so it’s better. -
Control
In adaptive control we can also change how the controller controls the system, this can be due to the lack of a mathematical model of the plant. -
Fault detection:

-
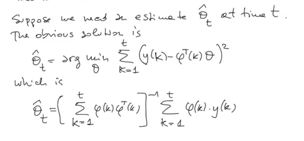
Recursive system identification:
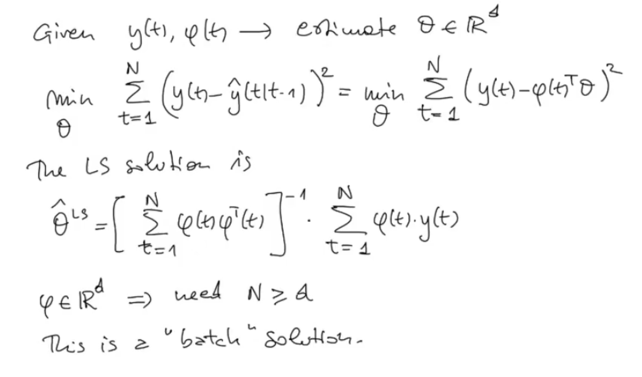
So we can only identify the system once “all” the output is given, or we can still use it at it is at each time , but is not optimized.
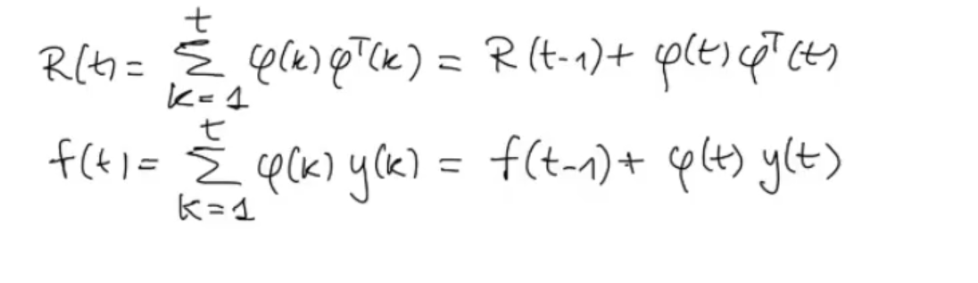
For simplicity let’s define two function and such that:
So:
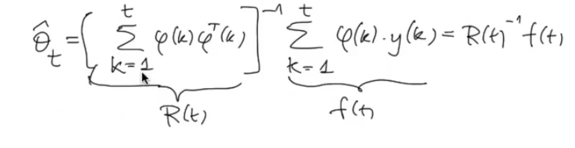
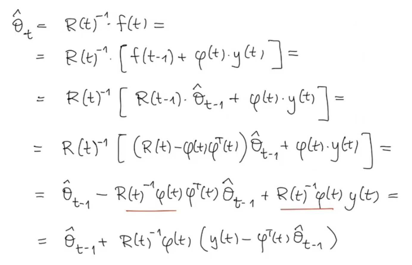
We can then write a recursive equation:
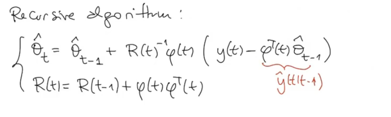
We have now obtained a recursive algorithm, to find the parameter vector :
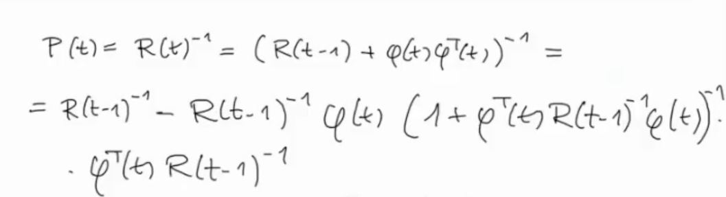
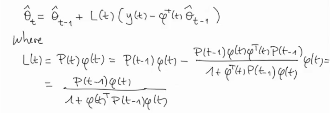
Still the algorithm could be upgraded:
Finally we can summarize and define the RLS (Recursive Least Squares) algorithm:
