-
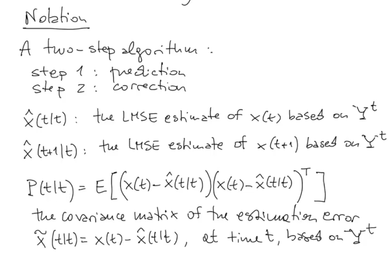
Basic Knowledge and Notation:

-
PREDICTION STEP:
Define the problem
We could also write as our objective function the LMSE (Least Mean Square Error), but it will bring the exact same result.
For simplicity we will define:
And since we are searching for the LMSE estimator (or similar, the result will still be the LSME estimator):
We substitute
We use the previous definition of :
We remove the uncorrelated part:
So only the products of (1)(1) and (2)(2) remains:
The variance is always positive, so by choosing such that the first component is is the best possible result, after all the second component only depends on which I cannot change.
Now let’s see how changes, starting from its definition as the covariance matrix of the error on the prediction :
Knowing that since is a white process:
Then:
We can rewrite it as we have already seen as the Discrete Lyapunov Equation:

-
CORRECTION STEP:
Define the problem:
Where:
- is the measurement vector obtained at time
- is the measurement vector obtained at time
We already know the solution of this problem:
Now we need to use all the information we got:
We know that is divided in 2 parts and , so:
We now make a strong assumption, we say that and are uncorrelated, unfortunately in most cases this is not the case:
The inverse of a diagonal matrix is:
We solve the matrix product:
Here we can say somenting:
But unfortunately, this works only if and are uncorrelated:

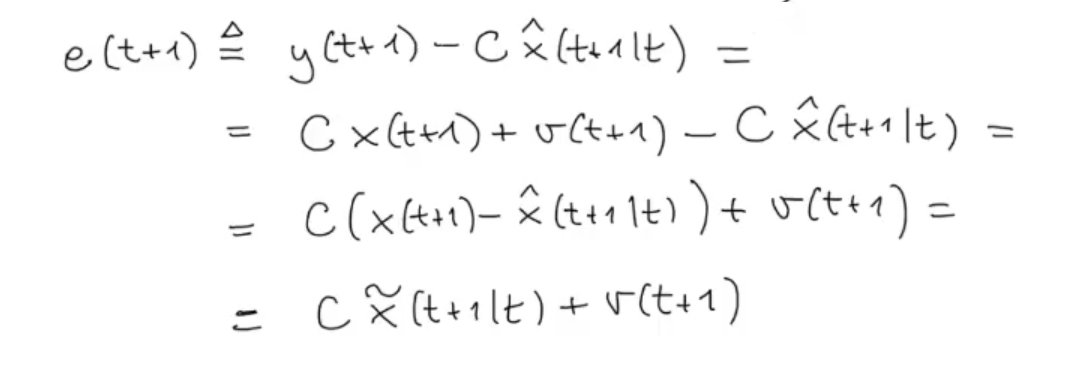
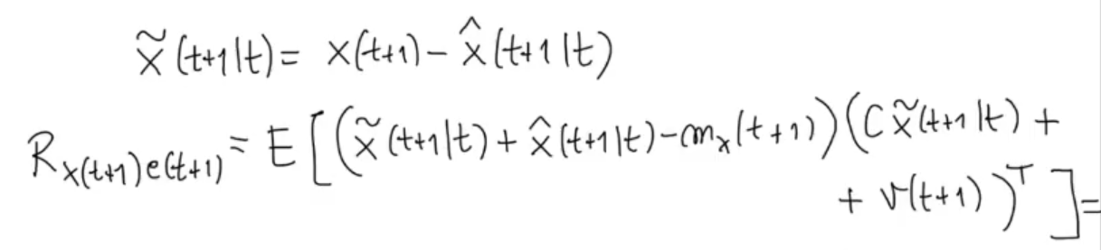
Let’s now define the so called Innovation Process:
The idea behind it is that we want to correct using only the new information contained in , so ignore from the old information, already seen in .
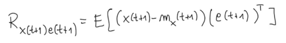
We can see the innovation process as the error of what the sensor measured (so the “almost” ground truth, whit an added noise ) and what our model predicted:
Doing some simple substitutions we have that the innovation process is equal to:

It also has some nice properties:
We say that is a linear combination of , because we know that the mathematical model is linear and as we can see from it is a prediction of that depends on the measurement up to time , ergo it’s a linear combination of .
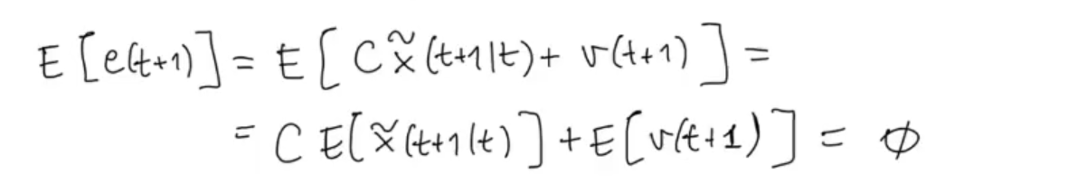
Now we can define the “update” process as:

Since is uncorrelated with :


Where:
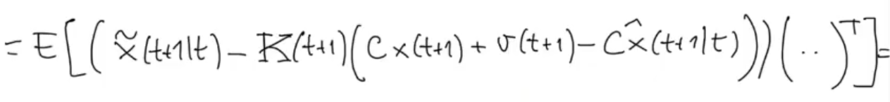
By the definition of covariance:
Like we did previously:
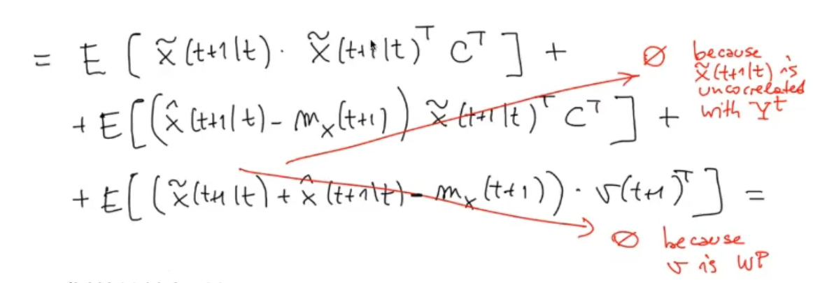
We study how the double product interact with each other:
And we have that:
We can “delete” the last two terms:
And we have that is equal to:

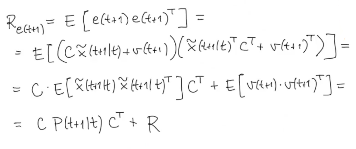
We calculate also the variance of :
(Like before we can simplify because is a White Process)
So we can say that
is equivalent to:

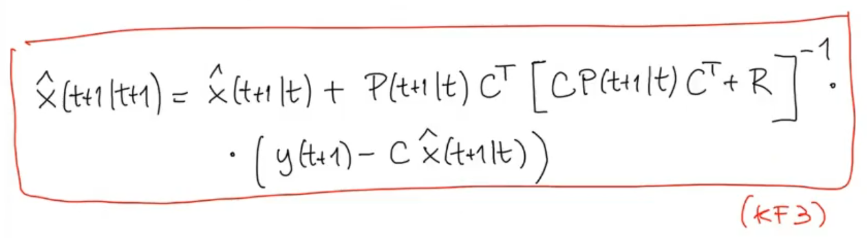
We define the Kalman Gain:

Such that:

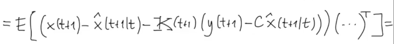
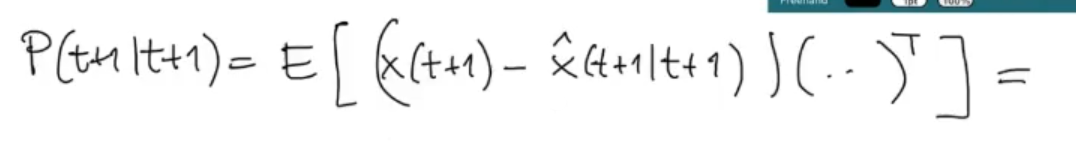
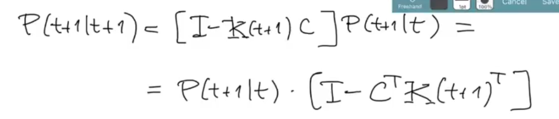
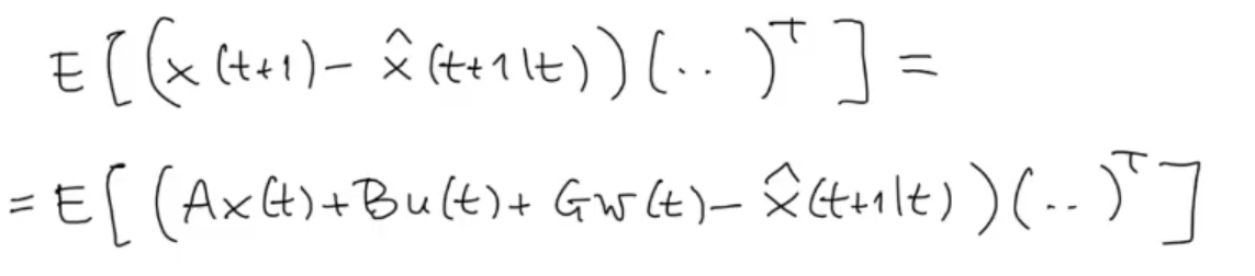
We have seen how evolves, now let’s see how evolves, starting as always by its definition:
We substitute the just found :
Then we substitute , and :
Simple multiplication, and substitution for
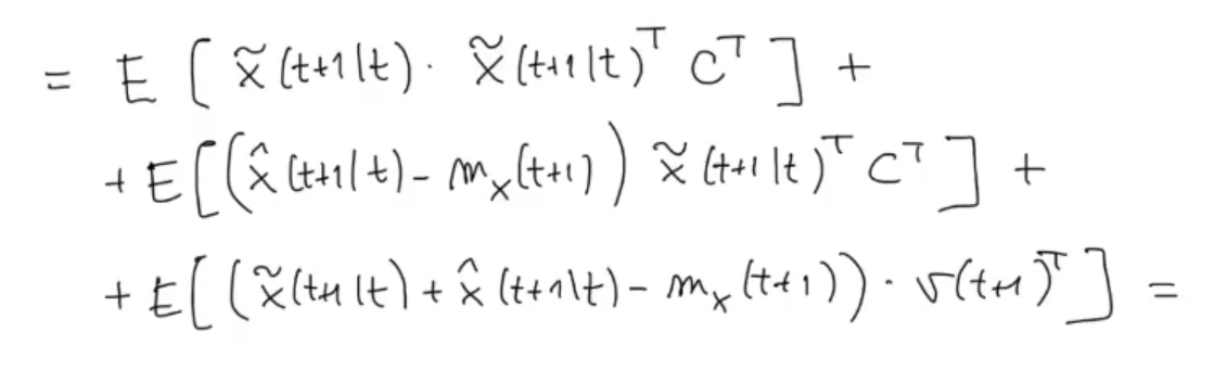
We group :
Like before:
- The covariance of something (different from ) multiplied by is zero since is a White Process.
- The variance of is , as defined in the formulation of the problem.
- The covariance of is , from the definition of
- Also note that , and are not stochastic.

We can simplify the formula, first we develop the matrix multiplication:
Then we simplify:

Finally we obtain the last formula for the KF algorithm:
Can also be written as:
3. Iterate