- Base Knowledge:

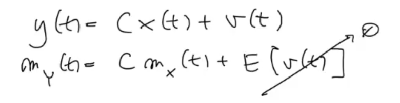
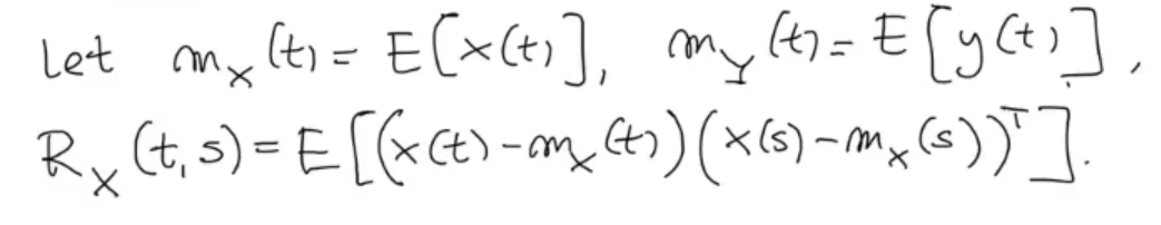
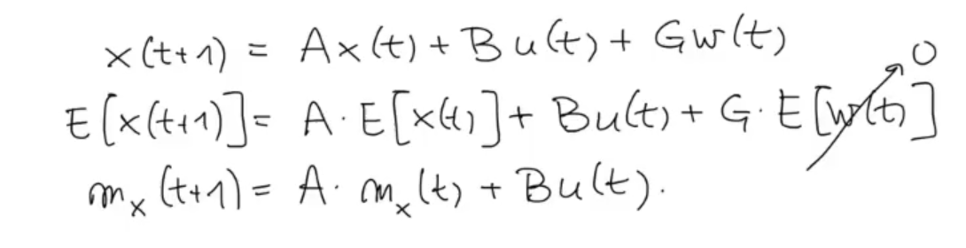
- Letβs define the mean function of and and the variance function of as and :
Then we have that:
So:

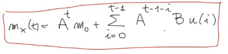
- For we have:

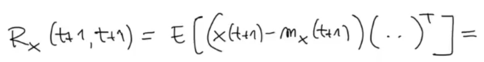
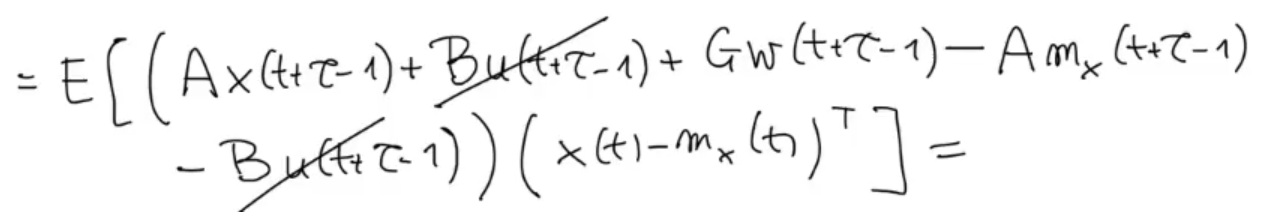
- Letβs now take into consideration the covariance function
Definition:
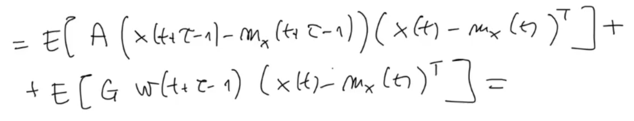
Substitute and , then simplify :
Being and independent processes we have:
Since is white, so we have that and are uncorrelated we can say:
Where:
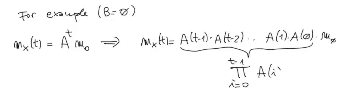
- only depends on the values of for (more over itβs a linear combination of for ).
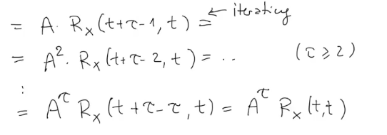
Then we can iterate an obtain:
So:
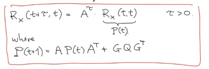
Now letβs see what is equal to, starting from the definition:
Like before we substitute and :
Explicit form:
Since of and are uncorrelated, like we said before, only depends on the values of for , so:
Where:
-
For simplicity we call and declare the Discrete Lyapunov equation as:
It tells us how the variance of evolves in time, is not stationary.
Finally we can conclude:

- (no proof was provided)

Remark
