So we can say that:

NOTE: The condition can be relaxed and just technical, it grantees that there is a unique solution to the ARE (Algebraic Riccati Equation), you want to avoid non-reachable eigenvalues values on the unit circumference. While the condition is unavoidable, and it says that the non-observable eigenvalues have to be stable , if you cannot measure something it has to go to zero.
-
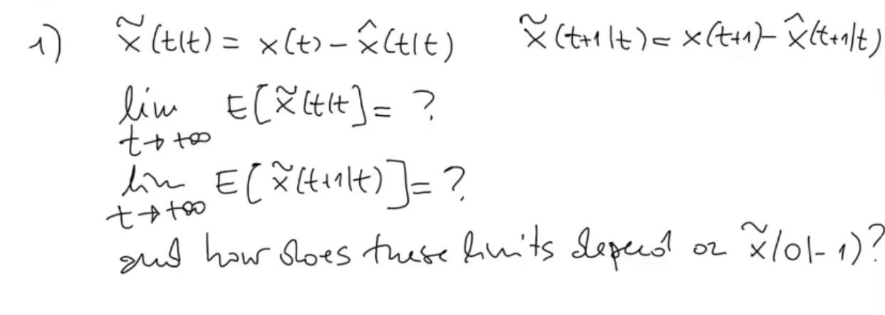
of the error :
Both limits go to , no matter the initial value :


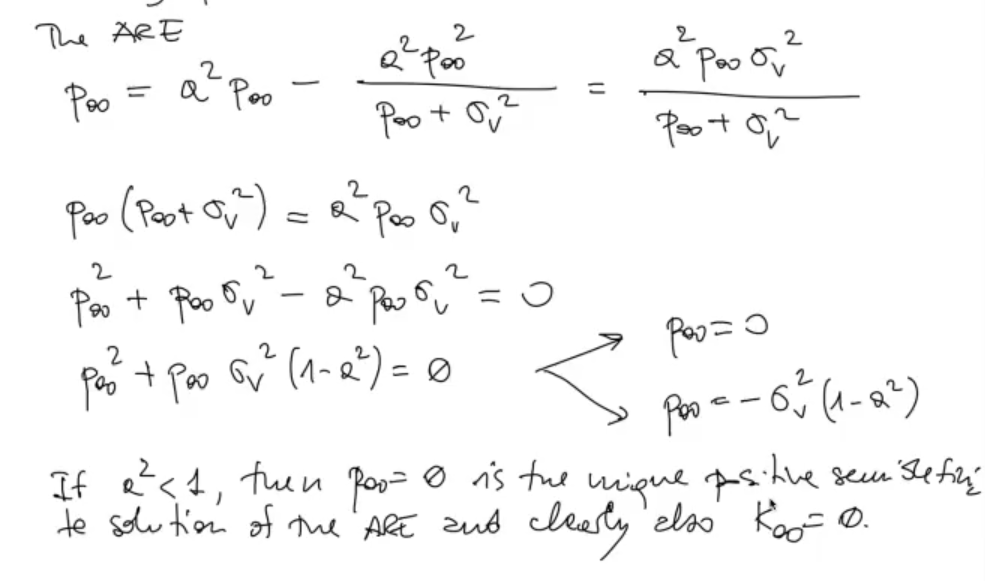
Solution of the ARE (Algebraic Riccati Equation), in a specific linear case:

Why this is true, will be shown later.
-
Where, was defined in the “KF as a dynamic system”:
Taking the results from the previous point (2.) of

-
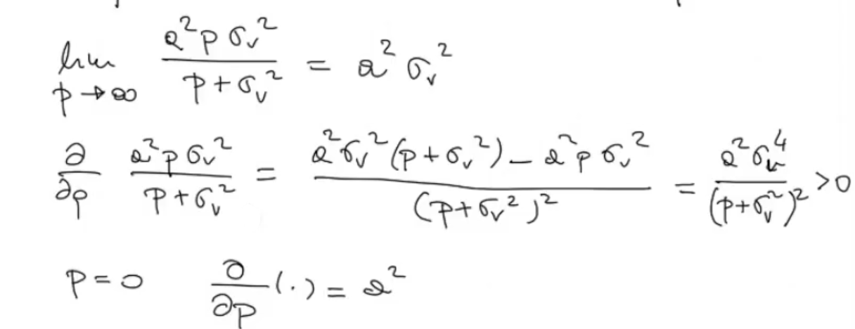
Let’s take a simple version of the DRE (Discrete Riccati Equation):
We study the curve:
So we obtain something like this:
Let’s take a random :
To compute we simply do:
So we take project on the axis, using the line and calculate :
As we iterate, as we can see we will have that
So we have shown graphically that that is true
Let’s see what happens for , the starting graph looks something like:
The point where the two curves intersect is:
So now doing like we did before we will obtain the limit:
This is how we can find the two different solution of the DRE for and .
NOTE: is the only exception, for , and not
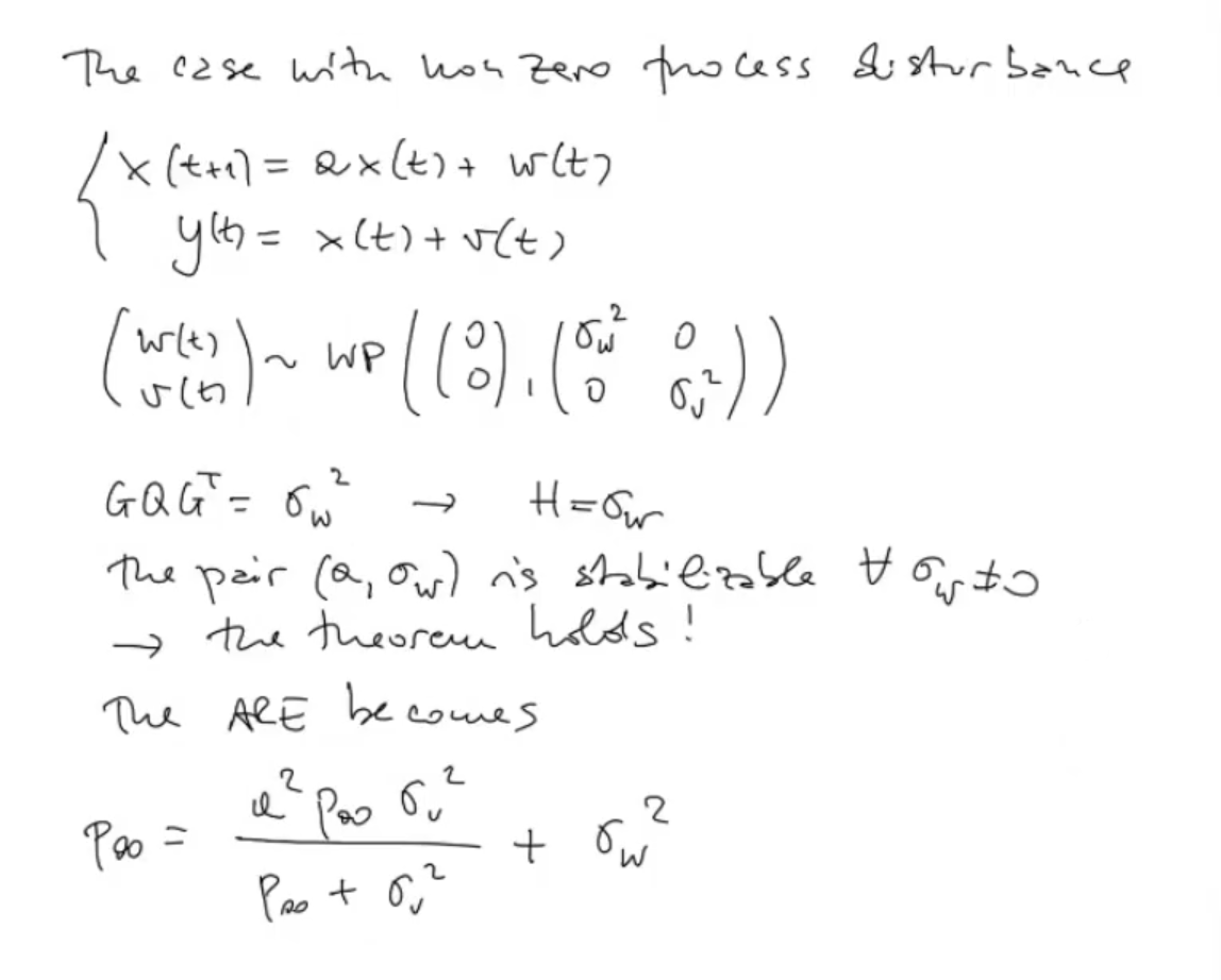
Let’s now see the case with the disturbance processes and :
The theorem holds, so the ARE has an unique solution, as we can see solving the equation:
Where:
- The positive solution will be our man,
- The negative solution, I don’t care, the variance is always positive.
Even if the solution will always be .