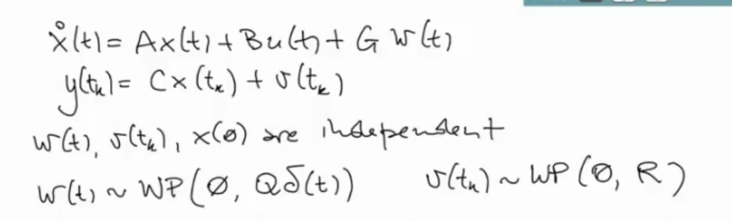
Analytic Solution
The C-D KF has an analytic solution:

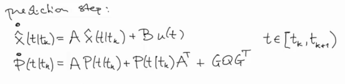
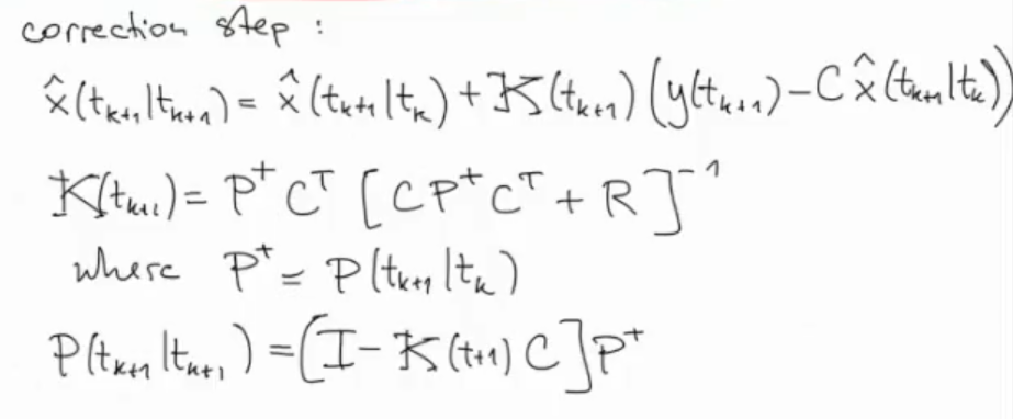
Algorithm
NOTE: Like the KF the C-D KF provides the LMSE (Least Mean Square Error) estimate of .
- Initialization:

- PREDICTION STEP:

- CORRECTION STEP:

- Iterate, restart from point (1.)
~Example ‘Output of the C-D KF algorithm:‘:
