
NOTE: Sometimes is possible to find instead of to indicate the measurement at time .
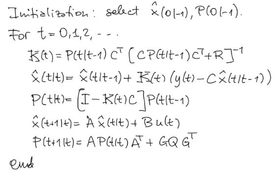
- Initialization: arbitrarily choose , and
- CORRECTION STEP:
- PREDICTION STEP:
- Iterate.
NOTE: Depending on the initial data the prediction step and the correction step can be inverted.