- The sigma points:
- The associated weights: , such that:
- is choose arbitrarily, more sigma points means more accuracy, but more computational cost.
- The minimum number of sigma points that can be taken is .
- is the dimension of , we can write
- Sigma points are selected such that their mean and covariance are the same as the pdf.

- Also the sigma points are distributed symmetrically with respect to the mean of the pdf.
~Example
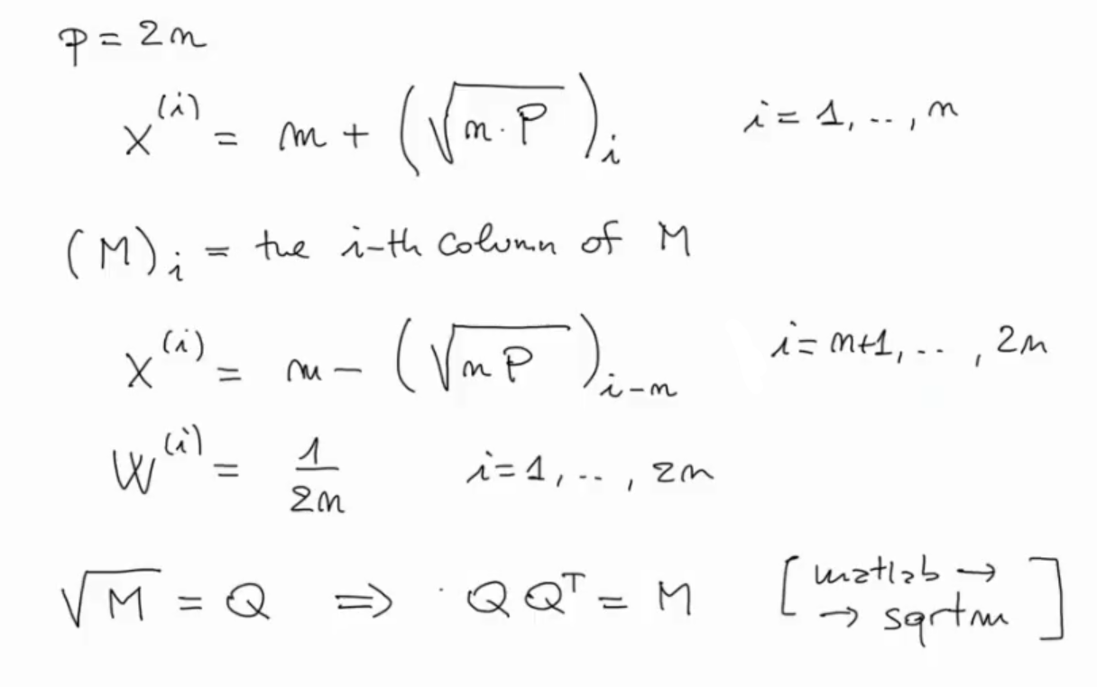
Let’s see a generic example on how to calculate the sigma points:
Where:
- and were defined before.
- is the mean of .
- is the covariance matrix of .
- is the just a place holder matrix to understand the notation, below the explanations of the notations used.
- When we say:
we mean the -th column of
- To calculate you can use the
sqrtmfunction on MATLAB.