System Identification
Main Elements of System Identification
- Data Set
- Model Class
- Cost Function
- Validate the model
Parameter Vector
A Priori Information
Gray Box / Black Box Models
Identification Process Algorithm

Principle of Parsimony
Parametric System Identification
Monic Polynomial

Generic Model Class
Also another possible parameter to be estimated is the delay .
ARX (Auto Regressive eXoguenous) Model

FIR (Finite Impulse Response) Model

ARMAX (Auto Regressive Moving Average) Model

OE (Output Error) Model

BJ (Box Jenkins) Model

Meaning of Each Acronym
Auto Regressive
The output in the system model is of this form:
Exogenous Inputs:
The input in the system model is of this form:
First Input Response
The output in the system model is of this form:
Moving Average
The noise in the system model is of this form:
Output Error
The error is not filtered.
Box-Jenkins
Name of the first people to use this model, is the most complete model of all the ones seen up till now.
Choosing the Best Model
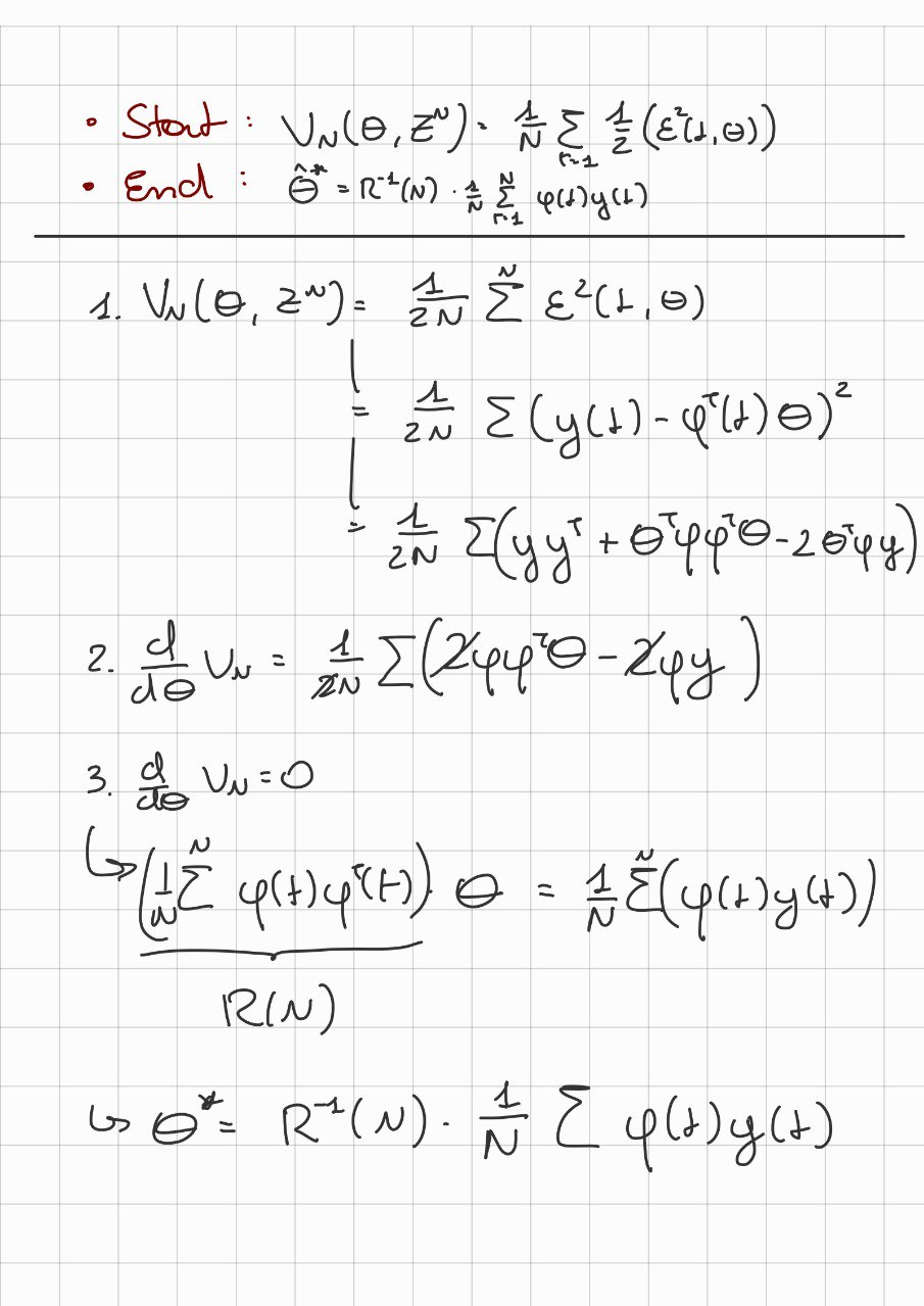
: Calculation

Regressor Vector
A vector containing all the past information of ; if any.
Error Function - ARX Model
We define the Regressor Vector as:
So that we can write:
Note how the error function is linear in .
Error Function - ARMAX Model
We also can find that:
So:
Note:
is non-linear in , ==the pseudo-regressor contains past values of , which depend on .==
Error Function - OE Model
Since , the pseudo-regressor contains the terms , each of this prediction depends on , so the error function is non-linear in .
Paradox of the Optimal Prediction
In the OE model, since , the pseudo-regressor contains the terms so we theoretically need all the estimates from . Similar with ARMAX model, the pseudo-regressor contains values from , where depends on starting from , which recursively depends on and so on.
To solve this “paradox” we consider all output and prediction before equal to .
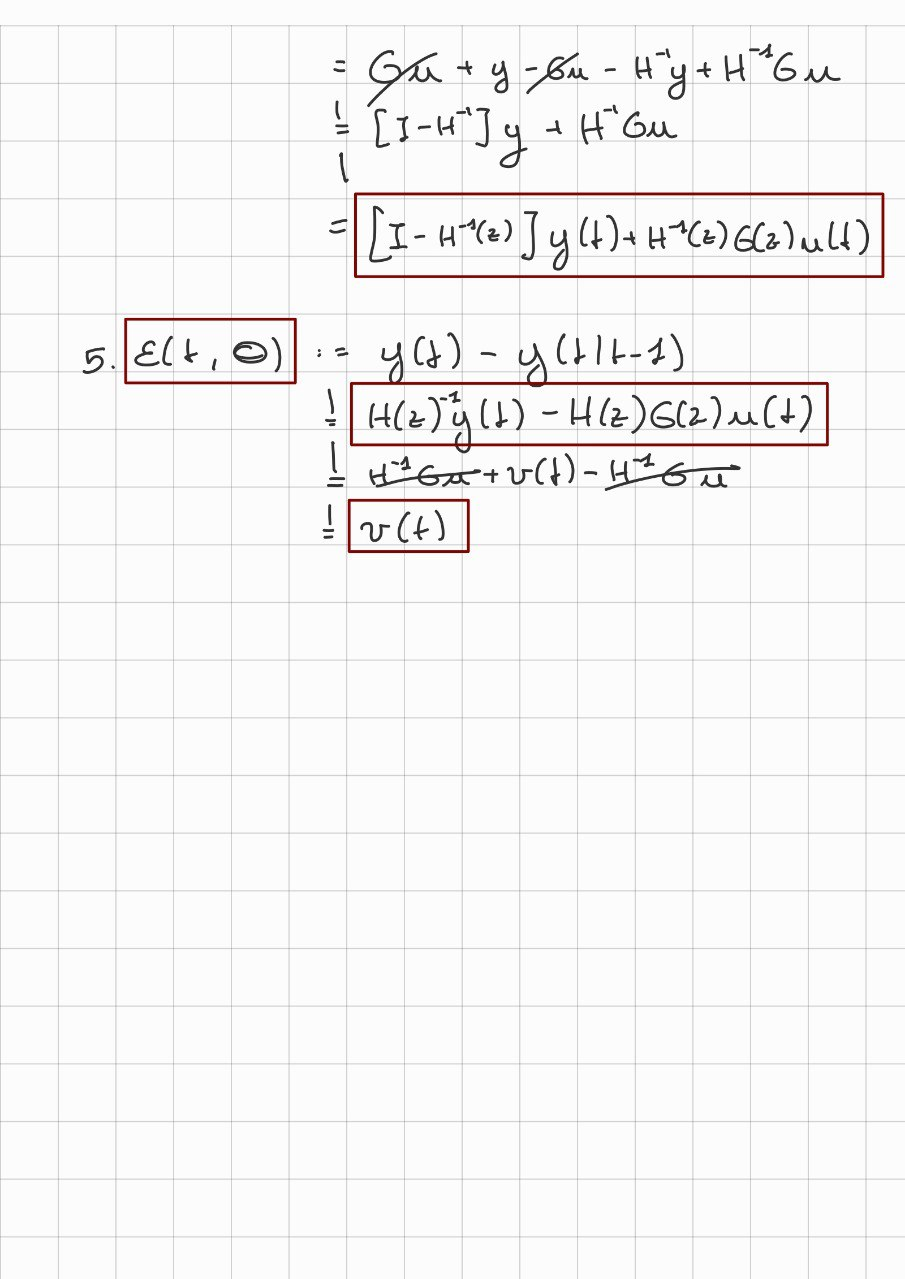
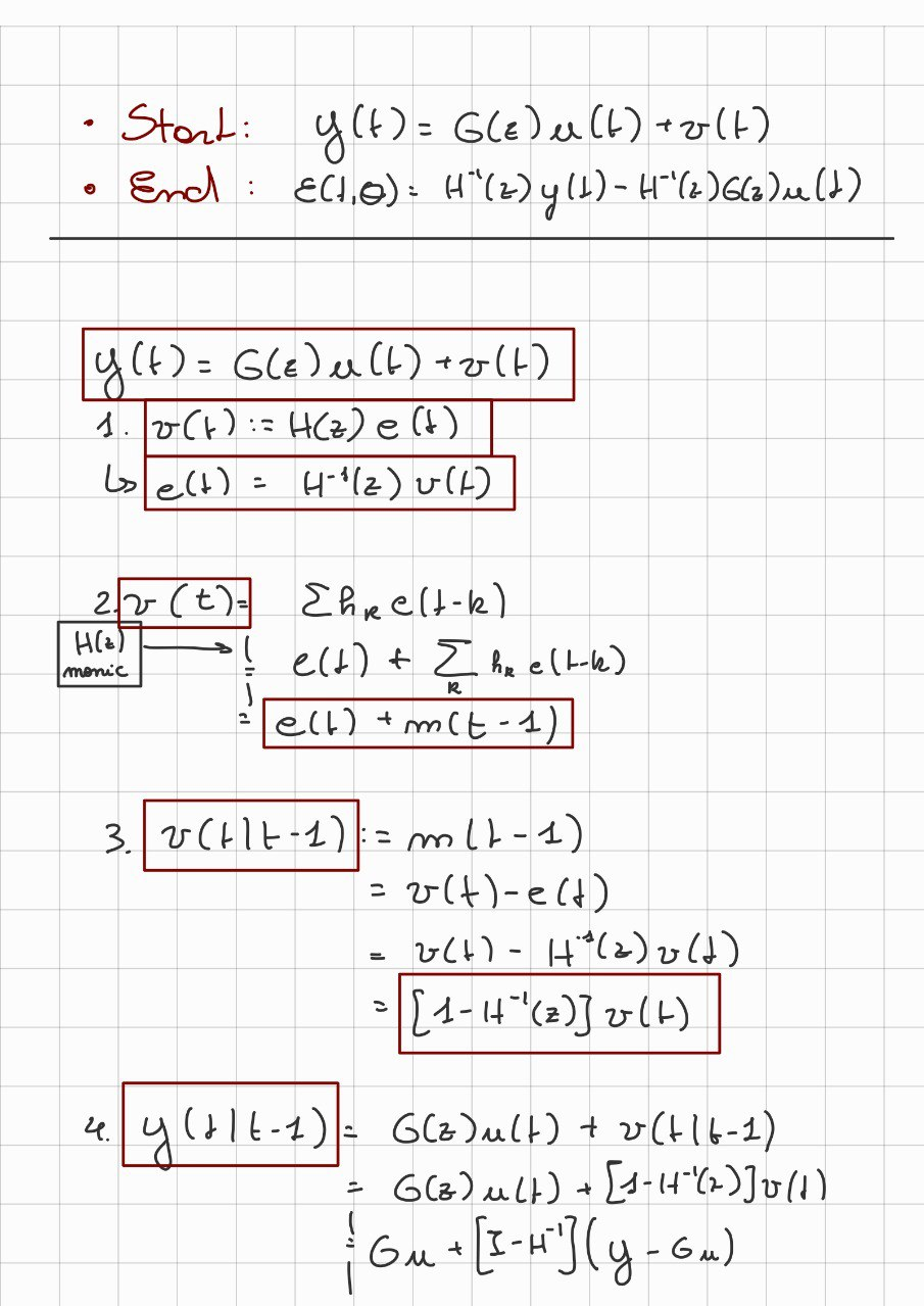
Prediction Error
Linear: ARM Models
Non-Linear: ARMAX, OE, BJ Models
Cost Function

Prediction Error Filter:

Cost Function - ARX Model

Cost Function - ARMAX, OE, BJ Models
The ARMAX, OE, BJ Models are non-linear in , so:

Preliminary Analysis of Data

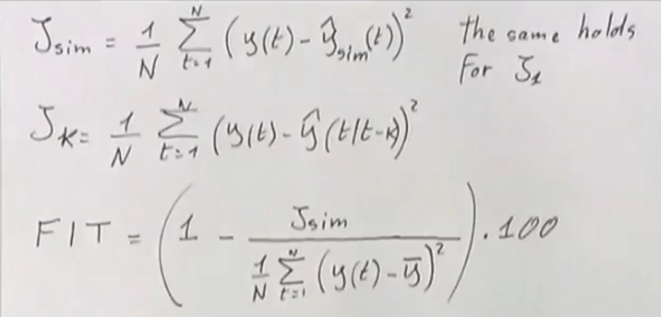
Compare Different Model Classes / K-Step Ahead Prediction

Overfitting

Increase the Cost according to the Number of Parameters

Types of
- AIC : Akaike Information Criteria
- FPE : Final Prediction Error
- MDL : Minimum Description Length.

Change the Cost Function for Validation

Differentiate the Data Sets: Estimation and Validation
Usually the entire data set it’s split in half.
Residual Analysis
Estimate the covariance function between the prediction error and the input and the variance of the prediction error .
Both of them have to be small because we don’t want the prediction error to have any relationship from the input or past residuals.

Whiteness Test of the Residuals

Input Selection
Things to remember when choosing an input for the system identification:

Typical Noises:
- White Noise
- RBS : Random Binary Sequence
- PRBS : Pseudo Random Binary Sequence
- Sum of Sinusoids
- Chirp