
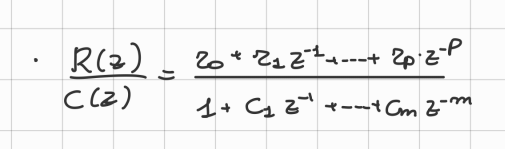
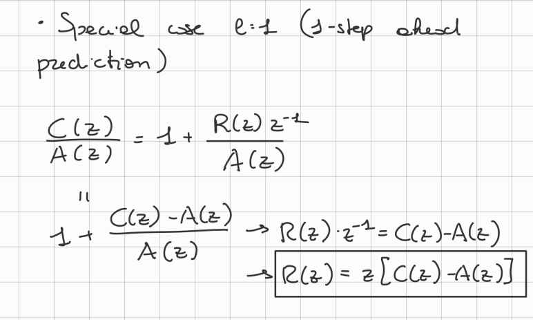
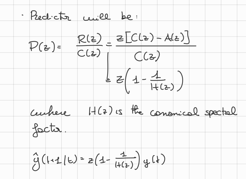
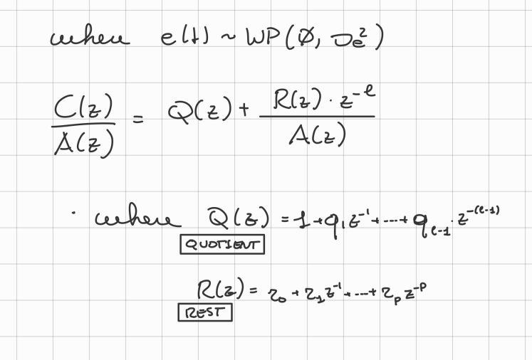
The k-step (or l-step ahead prediction) ahead prediction is given by:

In a more compact form:

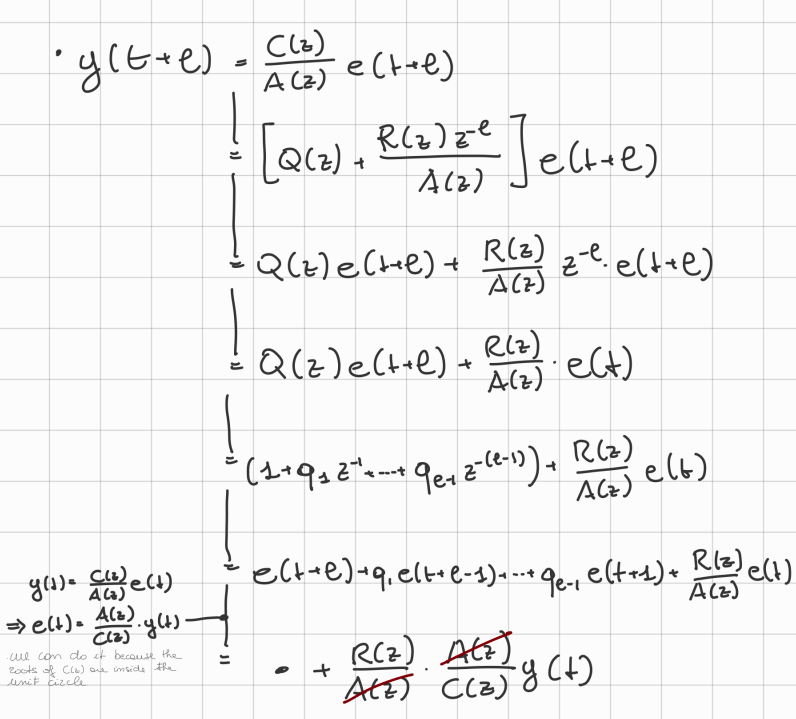
(We can substitute because the roots of are inside the unit circle)

Search
Jul 31, 20241 min read

The k-step (or l-step ahead prediction) ahead prediction is given by:

In a more compact form:
y^(t+k ∣ t)=C(z)R(z)y(t)

(We can substitute e(t)=C(z)A(z)⋅y(t) because the roots of C(z) are inside the unit circle)
