🪴 Quartz 4.0

Search

SearchSearch
        • Application of the KF
        • Asymptotic Properties of the KF
        • C-D EKF Algorithm
        • C-D KF Algorithm
        • Definition of the Sigma Points
        • DES - (PDF) Probability Distribution Function
        • DES - Central Limit Theorem
        • DES - Definition of 'Chain'
        • DES - Definition of 'Expected Value'
        • DES - Definition of 'Independent Stochastic Process'
        • DES - Definition of 'Markov Process'
        • DES - Definition of 'Stochastic Process'
        • DES - Definition of 'Variance'
        • DES - Exponential Distribution
        • DES - Law of Large Numbers
        • DES - Uniform Distribution
        • Differences between the KF and an LTI Filter
        • Drawbacks of the EKF
        • EKF Algorithm
        • HCR - Lagrangian Theorem
        • Initialization Properties of the KF Algorithm
        • Kalman Filters Table
        • KF Algorithm
        • KF with non-White Disturbances
        • Limit of the Discrete Lyapunov Equation
        • Mathematical Steps to Obtain the EKF Algorithm
        • Mathematical Steps to Obtain the KF Algorithm
        • Mathematical Steps to Obtain the Solution of an LTI Estimation Problem
        • Mean & Covariance of the PF
        • Observation on the EKF
        • P&S - Definition of 'Combinations'
        • PF Algorithm
        • Properties of the KF
        • RLS 'Recursive Least Squares' Algorithm
        • SI&DA - A General Result for Linear Stochastic Systems
        • SI&DA - CDF of a Generic Surface
        • SI&DA - Central Limit Theorem
        • SI&DA - Characteristic Polynomial
        • Si&DA - Cheat Sheet - Part 1
        • Si&DA - Cheat Sheet - Part 2
        • SI&DA - Conditional PDF for Gaussian RVs
        • SI&DA - Definition of 'Auto-regressive (AR) SP'
        • SI&DA - Definition of 'Auto-regressive Moving Average (ARMA) SP'
        • SI&DA - Definition of 'Bayes Risk Function'
        • SI&DA - Definition of 'BLUE (Best Linear Unbiased Estimator)'
        • SI&DA - Definition of 'CDF (Cumulative Distribution Function)'
        • SI&DA - Definition of 'Conditional Distribution'
        • SI&DA - Definition of 'Conditional Mean'
        • SI&DA - Definition of 'Conditional Variance and Covariance'
        • SI&DA - Definition of 'Confidence Interval'
        • SI&DA - Definition of 'Consistent Estimator'
        • SI&DA - Definition of 'Covariance Matrix'
        • SI&DA - Definition of 'Cross-Covariance'
        • SI&DA - Definition of 'Cross-Spectrum'
        • SI&DA - Definition of 'Efficient Estimator'
        • SI&DA - Definition of 'Estimator'
        • SI&DA - Definition of 'Exponentially Correlated SPs'
        • SI&DA - Definition of 'Independent Random Variables'
        • SI&DA - Definition of 'Joint CDF'
        • SI&DA - Definition of 'Joint PDF'
        • SI&DA - Definition of 'Joint Stationarity'
        • SI&DA - Definition of 'Linear Minimum Square Error Estimator'
        • SI&DA - Definition of 'Logarithmic Likelihood Function'
        • SI&DA - Definition of 'Marginal PDF'
        • SI&DA - Definition of 'Maximum Likelihood (ML) Estimators'
        • SI&DA - Definition of 'Minimum Square Error Estimator'
        • SI&DA - Definition of 'Moving Average (MA) SP'
        • SI&DA - Definition of 'MSE (Mean Square Error)'
        • SI&DA - Definition of 'MSE Estimator Comparison'
        • SI&DA - Definition of 'Normalized Covariance'
        • SI&DA - Definition of 'PDF (Probability Density Function)'
        • SI&DA - Definition of 'Purely Deterministic SP'
        • SI&DA - Definition of 'Spectral Density'
        • SI&DA - Definition of 'Spectrum'
        • SI&DA - Definition of 'Stochastic Process'
        • SI&DA - Definition of 'Strong Stationarity'
        • SI&DA - Definition of 'Unbiased Estimator'
        • SI&DA - Definition of 'Uncorrelated Random Variables'
        • SI&DA - Definition of 'Uniformly Minimum Variance Unbiased Estimator (UMVUE)'
        • SI&DA - Definition of 'Weak Stationarity'
        • SI&DA - Definition of 'White SP'
        • SI&DA - Definition of 'Wiener Process (or Brownian Motion)'
        • SI&DA - Difference between Random Variable and Realization of a Stochastic Process
        • SI&DA - Difference from Parametric and Bayesian Estimation
        • SI&DA - Discrete solution to the Linear Minimum Square Error Estimate
        • SI&DA - Estimation Problem
        • SI&DA - First and Second Order Statistics
        • SI&DA - Free and Forced Response of the System
        • SI&DA - Functions of RVs
        • SI&DA - Gaussian Random Variables
        • SI&DA - k-Step Ahead Prediction Error
        • SI&DA - k-Step Ahead Predictor
        • SI&DA - Lecture 1 'Recap of Random Variables (RVs) - Part I'
        • SI&DA - Lecture 2 'Recap of Random Variables (RVs) - Part II'
        • SI&DA - Lecture 3 'Recap of Conditional Distributions'
        • SI&DA - Lecture 4 'Estimation Theory - Part I'
        • SI&DA - Lecture 5 'Estimation Theory - Part II'
        • SI&DA - Lecture 6 'Maximum Likelihood Method'
        • SI&DA - Lecture 7 'Linear Estimation Problems'
        • SI&DA - Lecture 8 'Bayesian Estimation'
        • SI&DA - Lecture 9 'Stochastic Processes'
        • SI&DA - Lecture 10 'Example of Stochastic Processes'
        • SI&DA - Lecture 11 'Linear Stochastic System'
        • SI&DA - Lecture 12 'Frequency Domain Analysis of Stochastic Systems'
        • SI&DA - Lecture 13 'MA AR and ARMA Processes'
        • SI&DA - Lecture 14 'Time Series Prediction'
        • SI&DA - Lecture 15 'System Identification'
        • SI&DA - Lecture 16 'LTI Models'
        • SI&DA - Lecture 17 'Model Selection Criteria'
        • SI&DA - Lecture 18 'Optimal Model Choice'
        • SI&DA - Lecture 19 'Model Validation - Part I'
        • SI&DA - Lecture 20 'Model Validation - Part II'
        • SI&DA - Lecture 21 'State Estimation Problem'
        • SI&DA - Lecture 22 'Derivation of the Kalman Filter - Part I'
        • SI&DA - Lecture 23 'Derivation of the Kalman Filter - Part II'
        • SI&DA - Lecture 24 'Properties of the Kalman Filter'
        • SI&DA - Lecture 25 'Asymptotic Behaviour of the Kalman Filter'
        • SI&DA - Lecture 26 'Applications for the Kalman Filter'
        • SI&DA - Lecture 27 'Recursive Parameter Estimation'
        • SI&DA - Lecture 28 'The Extended Kalman Filter'
        • SI&DA - Lecture 29 'The Continuous-Discrete Kalman Filter'
        • SI&DA - Lecture 30 'The Unscented Kalman Filter - from Online Resources'
        • SI&DA - Lecture 30 'The Unscented Kalman Filter'
        • SI&DA - Lecture 31 'The Particle Filter'
        • SI&DA - Linear Stochastic Systems
        • SI&DA - Matrix Derivatives
        • SI&DA - Mean & Variance
        • SI&DA - Mean of a Vector of RVs
        • SI&DA - Multivariate Distributions
        • SI&DA - Multivariate Functions of RVs
        • SI&DA - Multivariate Functions of RVs (Linear Case)
        • SI&DA - Parametric Estimation
        • SI&DA - Professor Links
        • SI&DA - Properties of Multivariate PDF
        • SI&DA - Properties of the CDF and PDF
        • SI&DA - Properties of the Covariance Matrix of SPs
        • SI&DA - Properties of the Sample Mean
        • SI&DA - Properties of the Spectrum, Spectral Density and Cross-Spectrum
        • SI&DA - Property of Multivariate Gaussian RVs
        • SI&DA - Property the Fisher Information Matrix for i.i.d. RVs
        • SI&DA - Recap of Previous Courses - Mind Map
        • SI&DA - Spectral Factorization
        • SI&DA - State Estimation - Mind Map
        • SI&DA - Summary of GM and LS estimator Properties
        • SI&DA - System Identification - Mind Map
        • SI&DA - Theorem 'Affine RV'
        • SI&DA - Theorem 'Covariance Function of a Stationary SP'
        • SI&DA - Theorem 'Independent or Uncorrelated Gaussian RVs'
        • SI&DA - Theorem 'Independent RVs are also Uncorrelated'
        • SI&DA - Theorem 'Law of Large Numbers'
        • SI&DA - Theorem 'Sequence of Unbiased Estimators'
        • SI&DA - Theorem 'The Cramer-Rao Bound'
        • SI&DA - Time Series Prediction
        • SI&DA - Time Shift Operator
        • SI&DA - Transformation of an SP
        • State Estimation Problem
        • UKF Algorithm
        • When to Choose the C-D EKF
        • When to Choose the C-D KF
        • When to Choose the EKF
        • When to Choose the KF
        • When to Choose the PF
        • When to Choose the UKF
    Home

    ❯

    Notes and Images

    ❯

    SI&DA - Functions of RVs

    SI&DA - Functions of RVs

    Jul 31, 20241 min read

    • SIandDA
    • Definition
    • Example

    Functions of RVs

    SIandDADefinitionExample


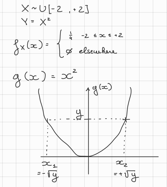
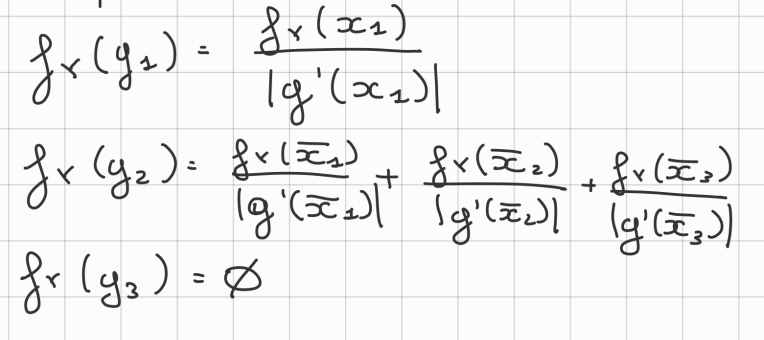
    ~Ex.:


    ~Ex.:


    Graph View

    Backlinks

    • SI&DA - Lecture 2 'Recap of Random Variables (RVs) - Part II'
    • SI&DA - Recap of Previous Courses - Mind Map
    • index

    Created with Quartz v4.2.4 © 2024

    • GitHub
    • Discord Community