Algorithm
- Initialization:

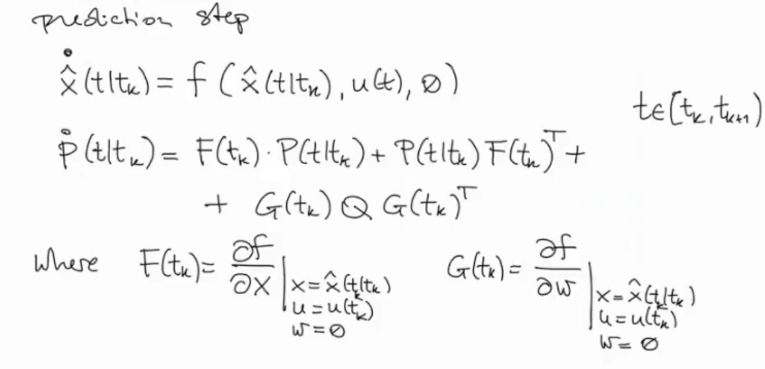
- PREDICTION STEP:

NOTE: In the first equation of the prediction step we are required to solve a differential equation, to do this we can use the functions
ode23andode45in MATLAB, which will solve the differential equations (at each loop) numerically.
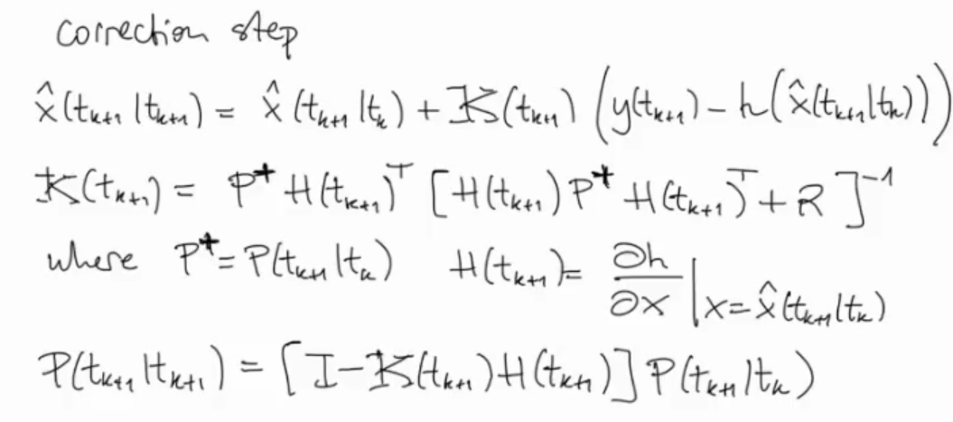
- CORRECTION STEP:

- Iterate, from point (1.)
~Example ‘Differences from the EKF and C-D EKF Solutions’

- The discretized version (dashed black line) is obtained using the EKF algorithm
- The continuous version (black line) is obtained using the C-D EKF algorithm
- While in red we can see the true state of the system.