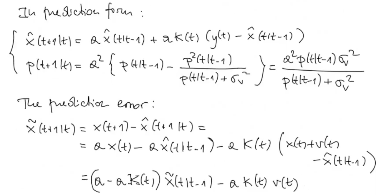
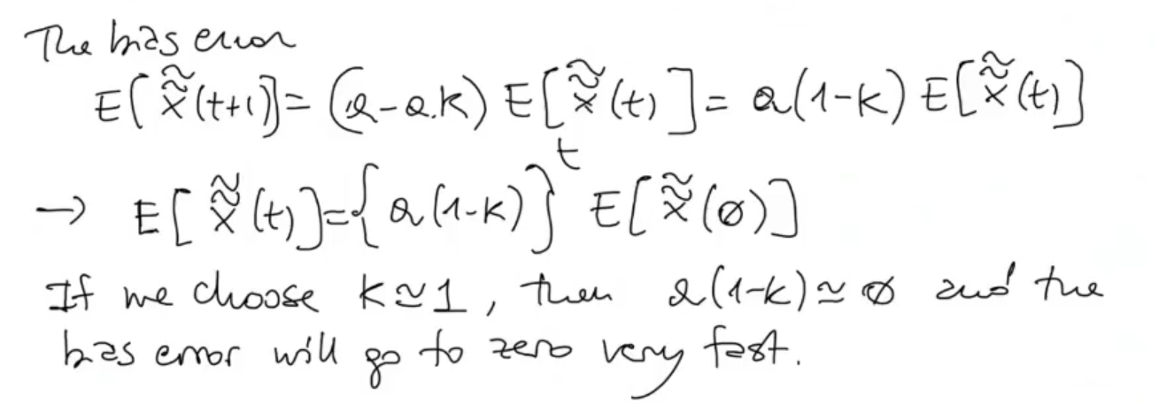
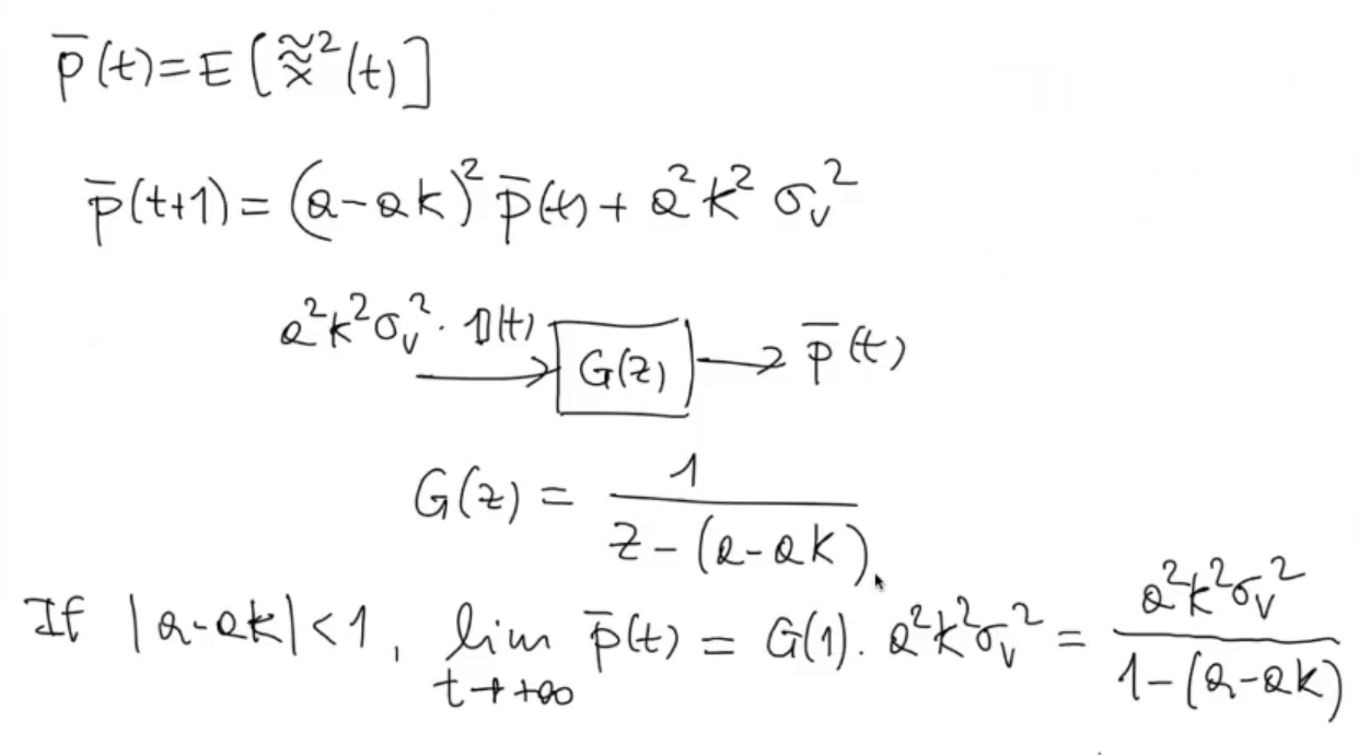
Solving the Discrete Riccati Equation for we can find the asymptotic values of and

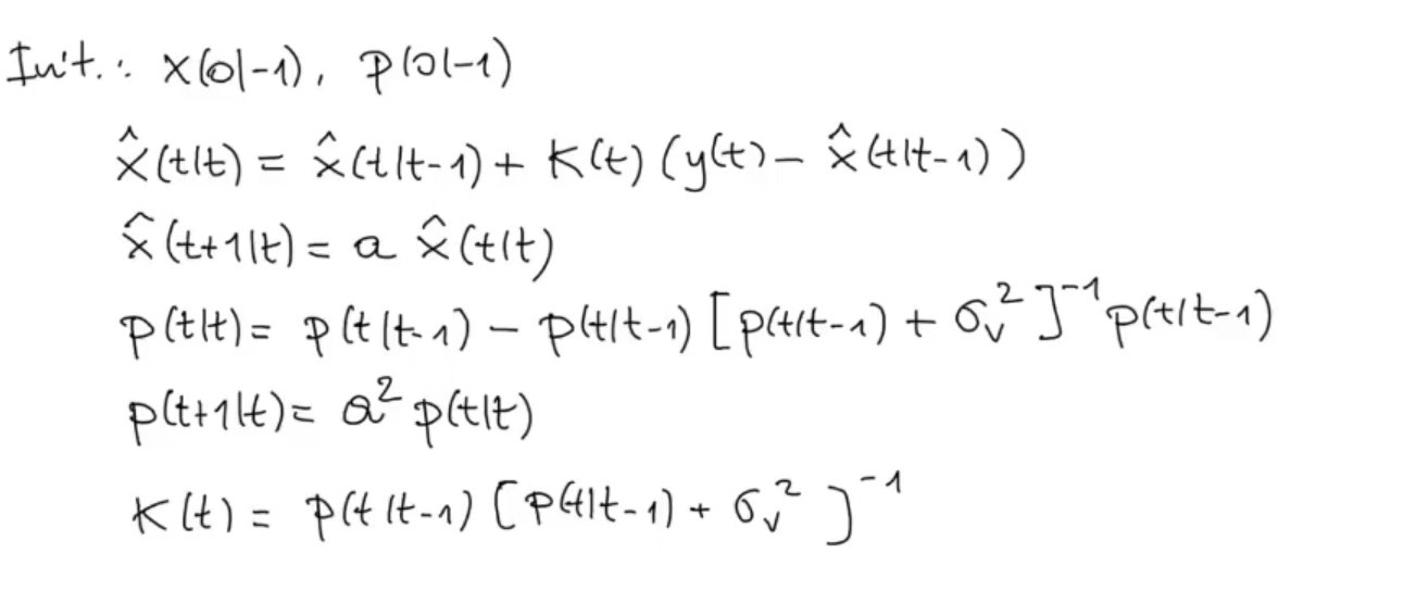
KF:

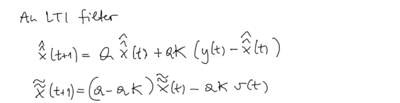
LTI Filter:


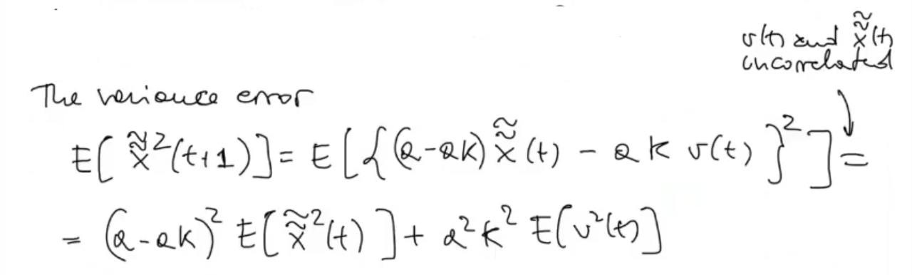
So both the error and the covariance go to zero, but for the requirements to find a fast solution are conflicting:

Search
Jul 31, 20241 min read
Solving the Discrete Riccati Equation for t→∞ we can find the asymptotic values of P∞ and K∞

KF:

LTI Filter:


So both the error and the covariance go to zero, but for the K requirements to find a fast solution are conflicting:
