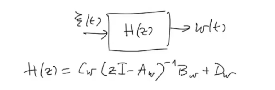
Where the non-white process come out of:
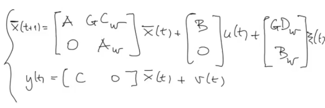
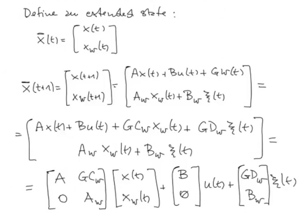
We have created a new system, where the previous non-white process is “absorbed” by the black-box state, so now we can still apply the KF to this new system:

Search
Jul 31, 20241 min read
Where the non-white process w(t) come out of:
We have created a new system, where the previous non-white process is “absorbed” by the black-box state, so now we can still apply the KF to this new system:
