Batch Mode or Online Mode
Analyze a batch or one at a time. Same as for Machine Learning.
Definition of ‘Stochastic Process’


Definition of ‘Signal’

Complete Characterization of an SP

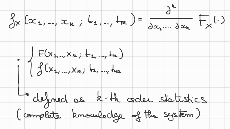
CDF and PDF of an SP

Where:


First and Second Order Statistics

Mean and Covariance of an SP

Definition of ‘Strong Stationarity’

Definition of ‘Weak Stationarity’

Theorem ‘Covariance Function of a Stationary SP’
