Bayesian Estimation

So given a set of Unbiased EstimatorsTODO we need a criteria to asses the quality of a given estimator
Definition of ‘Bayes Risk Function’

~Ex.:
Any norm of is a Bayes Risk Function

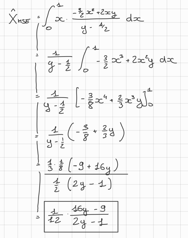
Definition of ‘Minimum Square Error Estimator’

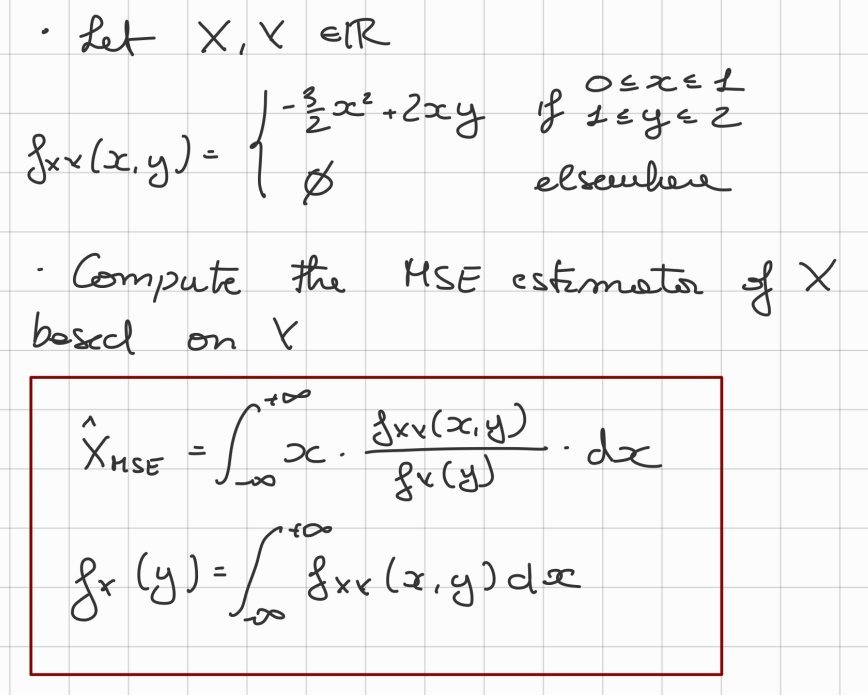
~Ex.:

~Ex.:

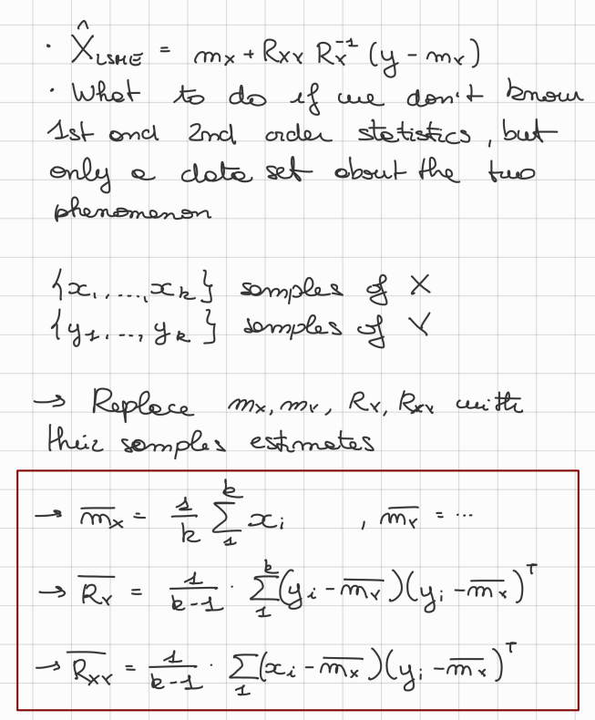
Definition of ‘Linear MSE Estimator’

~Ex.:

~Ex.:
Theorem ‘Schur Complement’

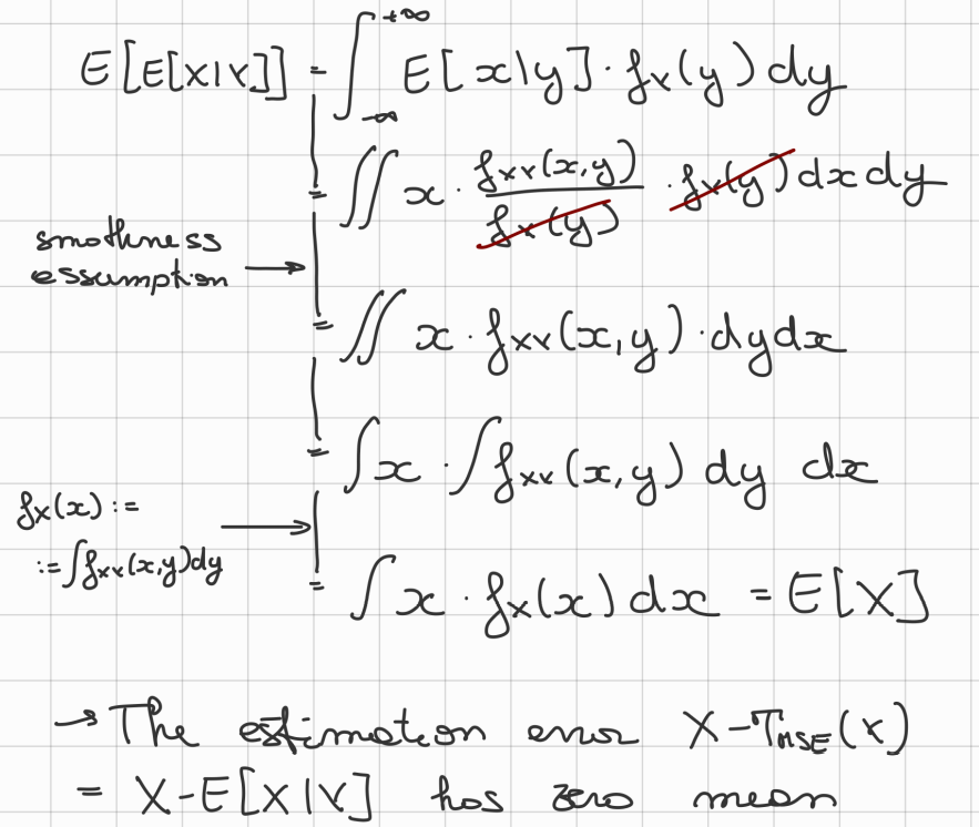
Proof that the estimation error of the evaluated LMSE is uncorrelated with the data of the observation

