Linear Estimation Problems
Already solved here (TODO - link @ exercise of lecture 6)
NOTE: This problem is easy to solve.

→ Using the properties of Matrix Derivatives, we can solve as:

Special Case:

~Ex.:
~Ex.:
~Ex.: What Happens when ?

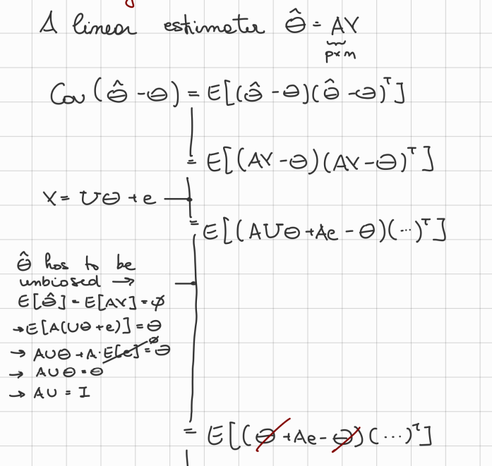
Definition of ‘GM Estimator (GME)’

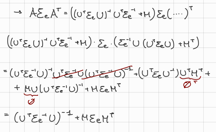
Proof:





