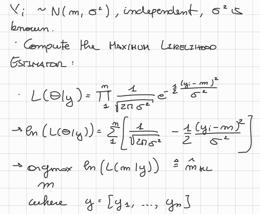
Definition of ‘Maximum Likelihood (ML) Estimators’

The maximum likelihood estimator searches for the max value of the pdf function where is our parameter to be estimated, we have said that is also equal to the mean of this pdf which is also equal to its max value, here’s way the ML Estimator.
Definition of ‘Logarithmic Likelihood Function’

~Ex.:

~Ex.:
should be we consider only 1 Gaussian pdf. : number of observation. : -esim observation.
Joint PDF of Gaussians:


~Ex.:
~Ex.:

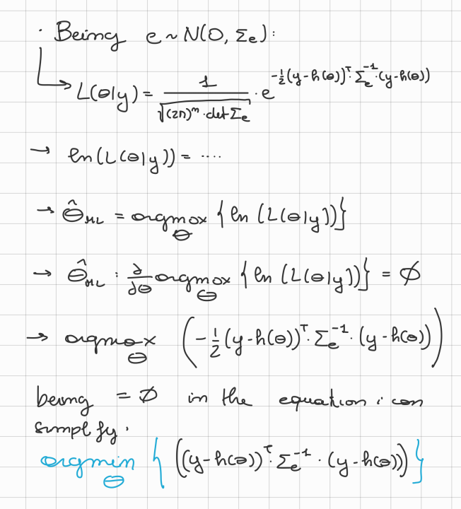
A common family of problems: Additive Disturbance

is the covariance matrix of

