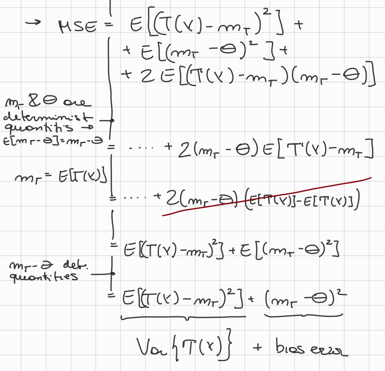
SI&DA - Definition of 'MSE (Mean Square Error)'
Definition of âMSE (Mean Square Error)â
Link to original
![]()
![]()
![]()
![]()
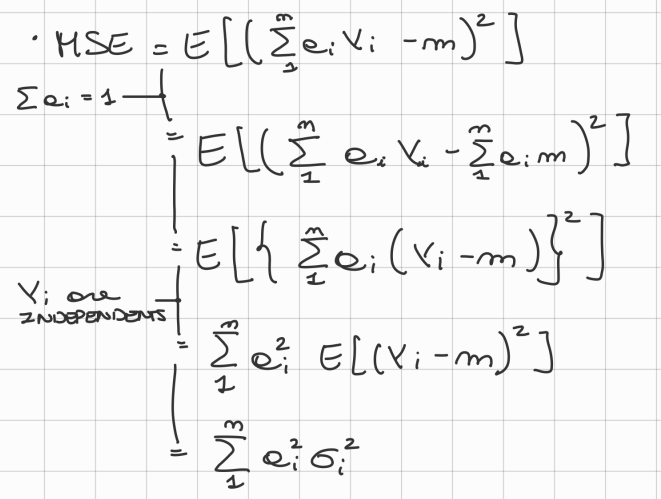
SI&DA - Definition of 'MSE Estimator Comparison'
Definition of âMSE Estimator Comparisonâ
Link to original
Definition of âUniformly Minimum Variance Unbiased Estimator (UMVUE)â

NOTE: is a vector, This theorem just says that the matrix is a diagonal matrix, and if we were to sum all the elements in the diagonal the result will be equal to . Nothing too surprising.

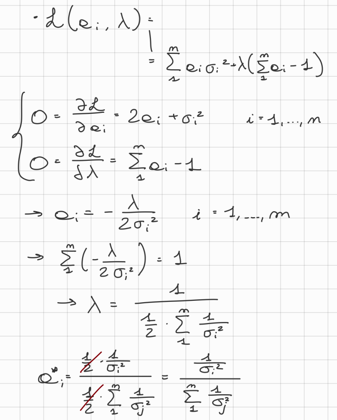
Definition of âBLUE (Best Linear Unbiased Estimator)â

~Ex.:

â Then utilizing the Lagrangian Function:

Theorem âThe Cramer-Rao Boundâ

Definition of âEfficient Estimatorâ
â Where:

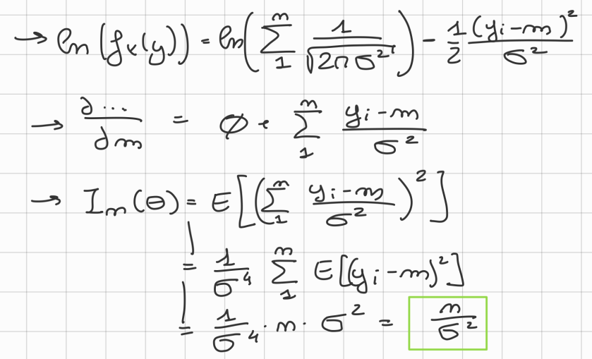
Property the Fisher Information Matrix for i.i.d. RVs
i.i.d. RVs : Independent Identically Distributed Random Variables
: Fisher information matrix

Properties of the Sample Mean
TheTODO Sample Mean is an:
Because itsTODO Fisher Information Matrix matches theTODO Cramer-Rao Bound.
~Dim.:

'/../../Notes--and--Images/Pasted-image-20220411114222.png)

