SI&DA - Estimation Problem
Estimation Problem
Where can be defined as: â a parameter â a RV
Link to original
SI&DA - Parametric Estimation
Parametric Estimation
Link to original
![]()
SI&DA - Definition of 'Estimator'
Definition of âEstimatorâ
Link to original
SI&DA - Definition of 'Unbiased Estimator'
Definition of âUnbiased Estimatorâ
Where: â We want to estimate , based on the observation of a RV
Another definition:
So that converges to our searched parameter , more information on theta can be found in: â SI&DA - Estimation Problem â SI&DA - Parametric Estimation âTODO Bayesian Estimation
~Ex.: Biased and Unbiased result
Link to original
~Ex.: Sample Mean
~Ex.: Another Unbiased Estimator
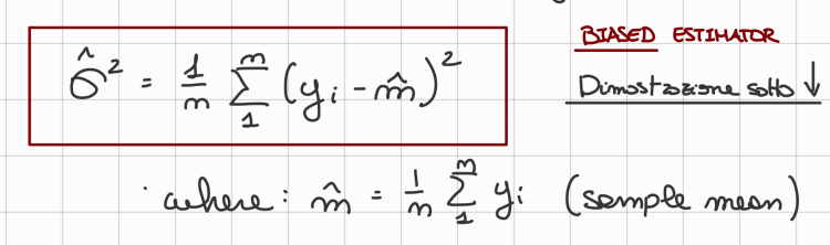
~Ex.: Sample Variance
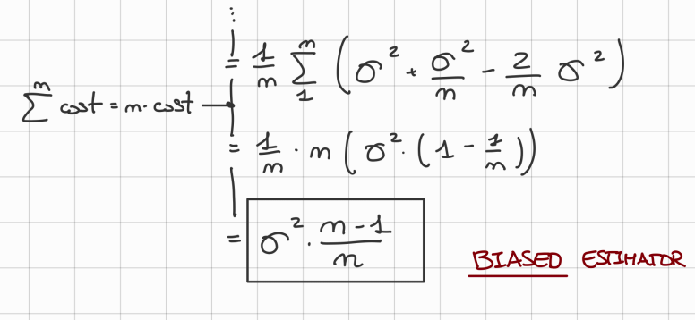
The âBASED Sample Varianceâ:

Itâs a BASED Estimator of the variance:
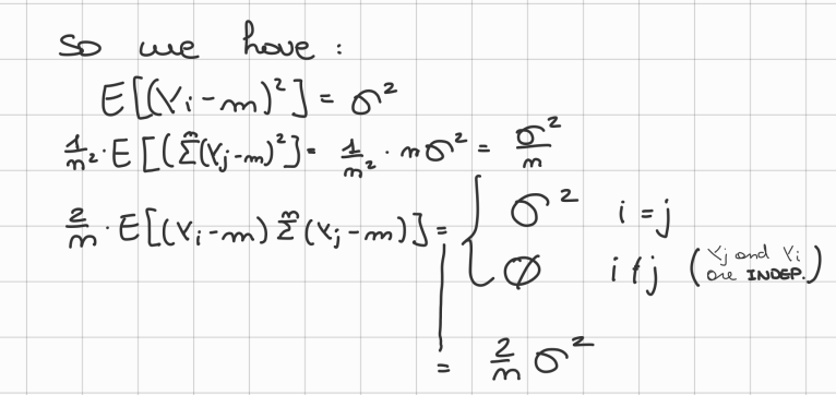
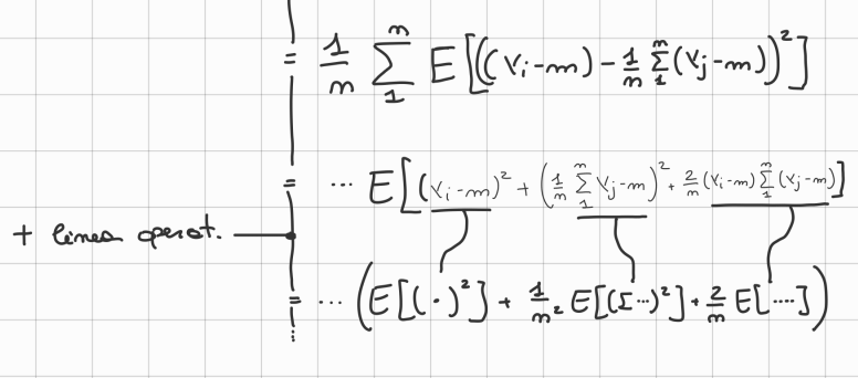
â Dim.:

The âSample Varianceâ Estimator (UNBIASED):

~Ex.: Homework (3)
SI&DA - Definition of 'Consistent Estimator'
Definition of âConsistent Estimatorâ
![]()
~Ex.:
Link to original
![]()
![]()
SI&DA - Theorem 'Sequence of Unbiased Estimators'
Theorem âSequence of Unbiased Estimatorsâ
Link to original
![]()
~Ex.: Consistency of the Sample Mean
SIandDAExample
âTODO Theorem âSequence of Unbiased Estimatorsâ

â SI&DA - Theorem âLaw of Large Numbersâ
SI&DA - Theorem 'Law of Large Numbers'
Theorem âLaw of Large Numbersâ
![]()
![]()
NOTE:
Link to original
Where 



Where:










