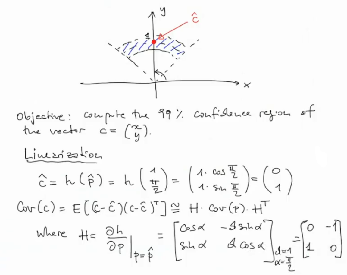
#TODO Explain better the Gaussian Curve Approximation.
#TODO Watching ???
#TODO Search and understand the Unscented Kalman Filter from Youtube.
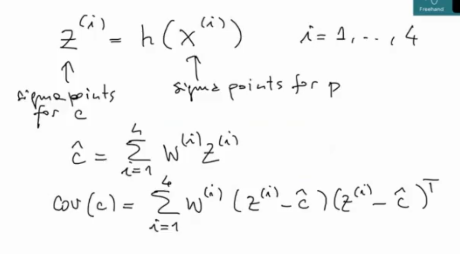
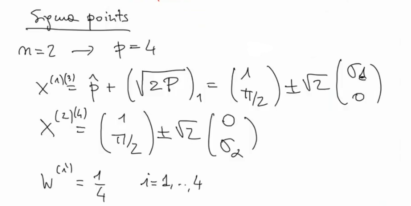
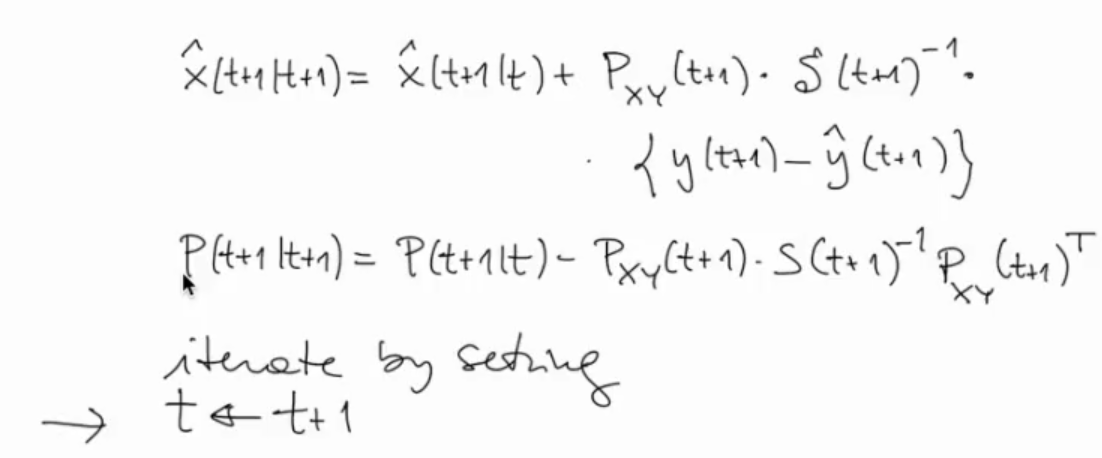
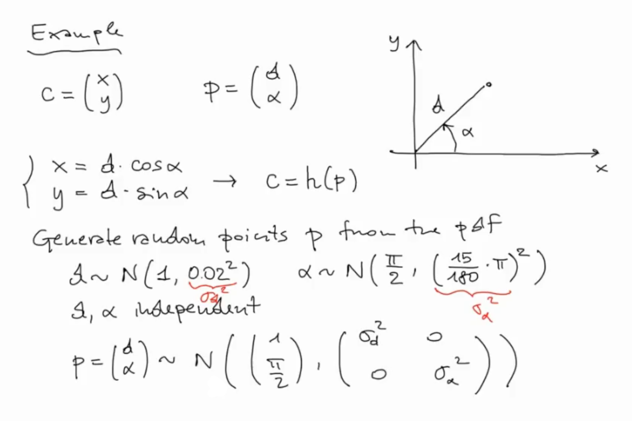
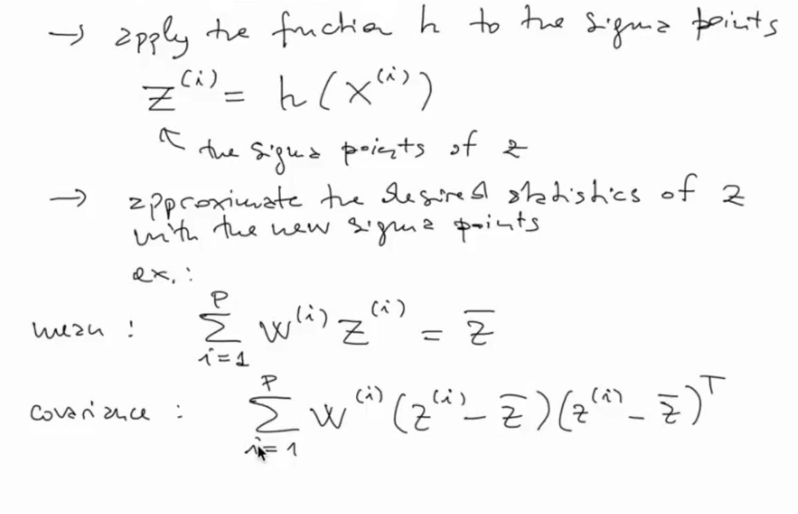
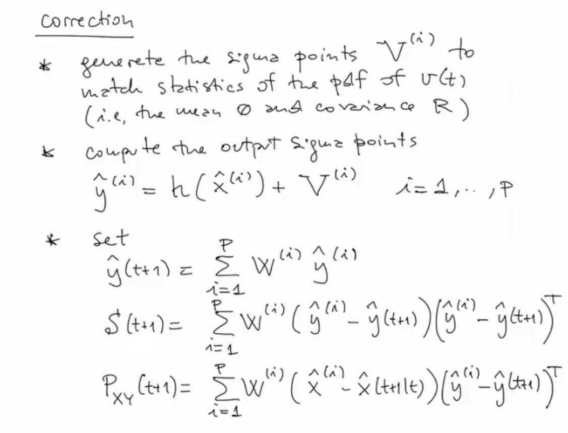
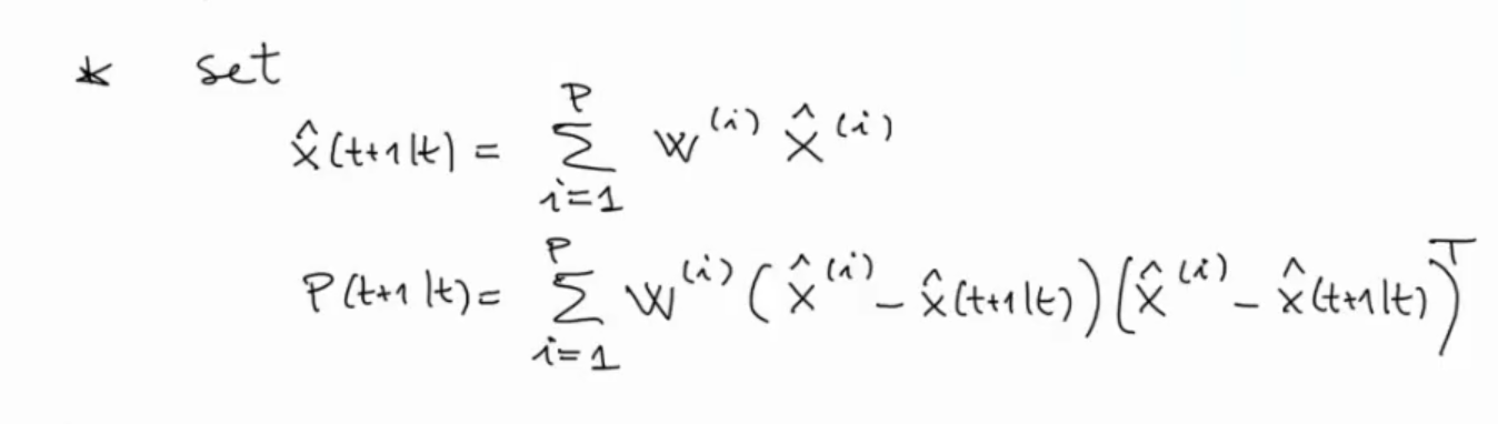
: is the index that goes from to where is the number of columns of the matrix

Search
Jul 31, 20241 min read
#TODO Explain better the Gaussian Curve Approximation.
#TODO Watching ???
#TODO Search and understand the Unscented Kalman Filter from Youtube.
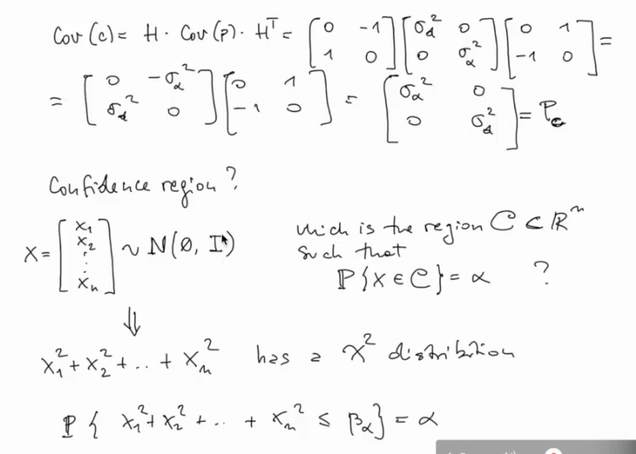
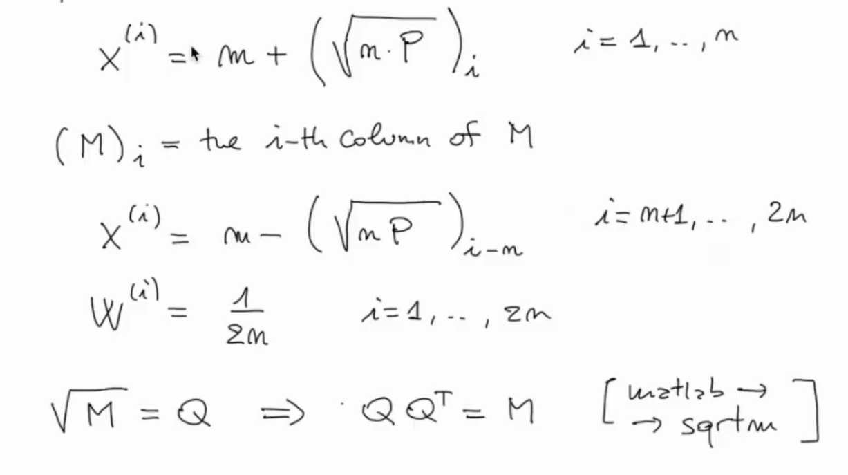
i : is the index that goes from 1 to n where n is the number of columns of the matrix M
