SI&DA - Definition of 'Conditional Distribution'
Definition of ‘Conditional Distribution’
→ SI&DA - Definition of ‘PDF (Probability Density Function)’
![]()
~Ex.:
Link to original
![]()
SI&DA - Definition of 'Conditional Mean'
Conditional Mean
Link to original
SI&DA - Definition of 'Conditional Variance and Covariance'
Conditional Variance and Covariance
Link to original
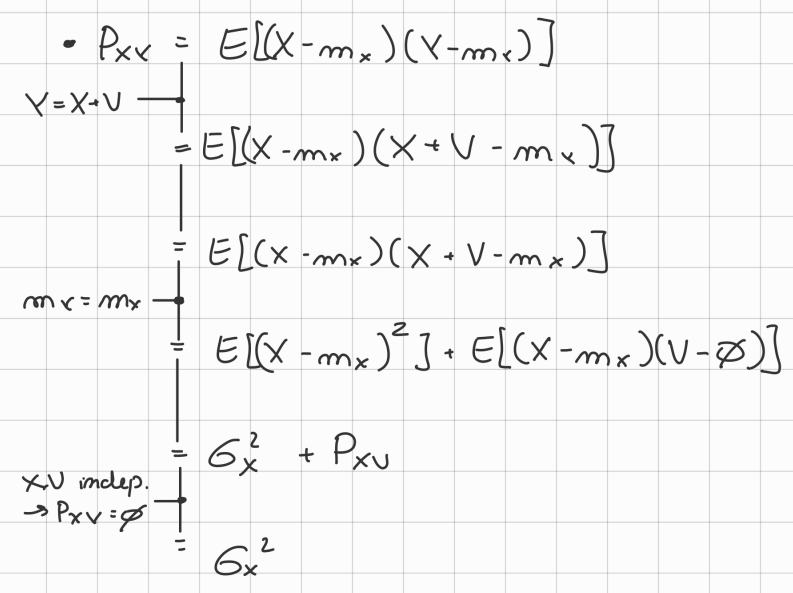
![]()
SI&DA - Conditional PDF for Gaussian RVs
Conditional PDF for Gaussian RVs
→ SI&DA - Definition of ‘Conditional Distribution’ → SI&DA - Definition of ‘Conditional Mean’ → SI&DA - Definition of ‘Conditional Variance and Covariance’ → SI&DA - Gaussian Random Variables
Link to original
![]()
![]()





