Summary
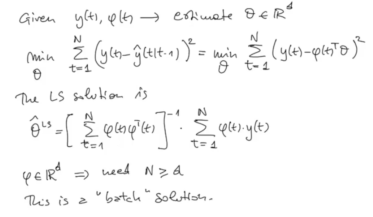
Recursive system identification, we considered the following Linear Regression Model:
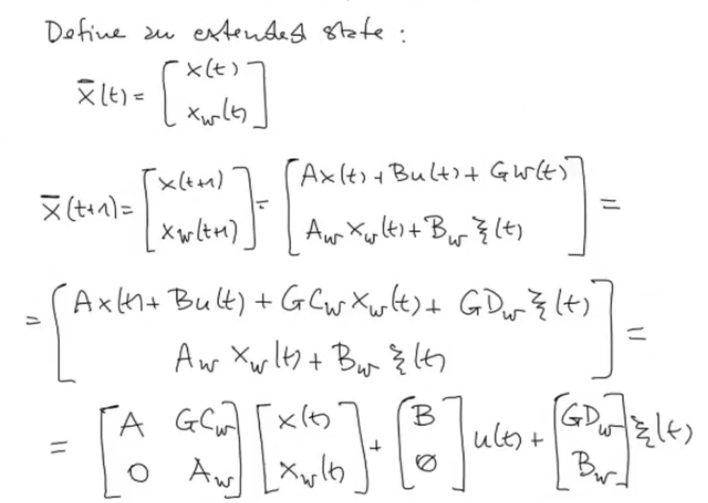
where:
- : regressor vector which usually contains past values of input and output signals like in ARX or FIR models
- : vector of parameters to be estimated
- : a corruption process or noise
We have found the solution to this problem, if we minimize the sum of squares of the one step ahead output prediction error :
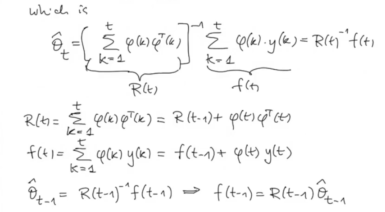
We get the Least Square Solution:
But in case we want to calculate the estimate at time to deliver it, instead at (when the measurement ends) we just need to change the formula a bit, in principle the same formula:
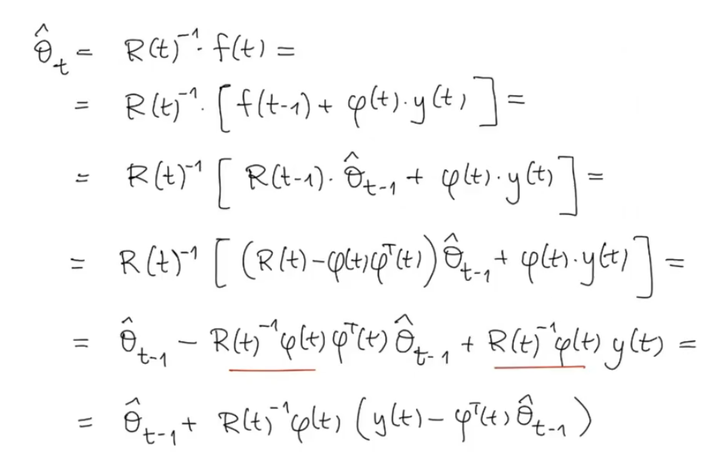
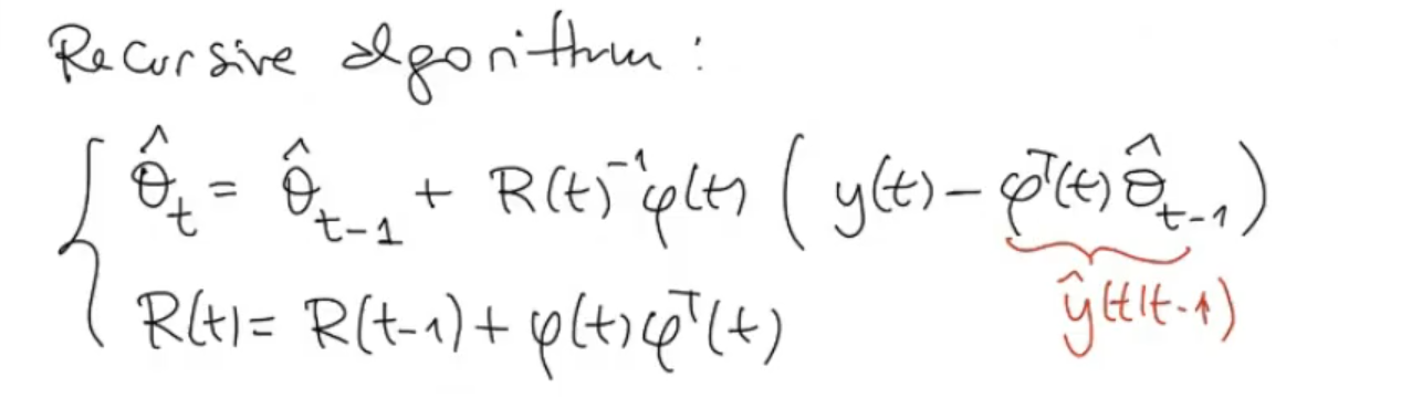
But a more clever solution to recursively update the estimate could be to implement the following Recursive Algorithm :
where:
This algorithm can also be upgraded, removing the need to compute the inverse of at each iteration: We call , and using the property:
we obtain:
So the complete algorithm is:
#TODO What does the purple line mean??
#TODO Understand the graph
